甘油

浏览

又称为丙三醇。它是最简单的三羟基醇,其分子式为HOCH2CH(OH)CH2OH。

存在

在自然界中,甘油主要以甘油酯的形式广泛存在于动植物体内,游离的很少。在棕榈油和其他极少数的油脂中含有少量甘油。某些物质含有极少量甘油,例如100毫升狗的血液中含有甘油2~2.5毫克;1升葡萄汁内约含甘油0.25~0.39克。

物理性质

甘油为无色无臭的粘稠液体,具有甜味;熔点20°C,沸点290°C(分解),相对密度1.2613(20/4°C)。纯甘油可形成结晶固体,冷至-50~-55°C时,最容易结晶,含有0.5%水即妨碍结晶。甘油的吸水性很强,与水混溶,并可溶于丙酮、氯乙烯乙醚-乙醇混合液,不溶于乙醚、氯仿、石油醚、二硫化碳和苯。

化学性质

与一元醇相似,例如与金属钠反应,生成一元甘油醇钠。甘油与干燥的氯化氢气反应,可产生2,3-二羟基-1-氯丙烷和1,3-二羟基-2-氯丙烷。在乙醚溶液中与氯化氢反应,主要生成2-羟基-1,3-二氯丙烷。氧化时生成甘油醛、甘油酸等;还原时生成丙二醇

甘油于10°C左右与硫酸-硝酸混合酸反应,生成甘油三硝酸酯,俗称硝酸甘油(见炸药):

公式 符号

这个化合物经轻微碰撞即分解成大量的气体、水蒸气和二氧化碳,发生爆炸。硝酸甘油还常用作强心剂和抗心绞痛药。

脂肪酰氯或酸酐可酯化甘油,并随反应条件的不同,分别生成单酯、二酯、三酯。在哺乳动物体内,甘油先在肝脏内形成L-磷酸甘油酯,然后再通过酶与羧酸作用,形成三酯。甘油与较温和的氧化剂如过氧化氢、过氧酸、亚铁盐、稀硝酸等反应,可生成甘油醛HOCH2CHOHCHO、二羟基丙酮HOCH2COCH2OH;与浓硝酸作用可生成甘油酸HOCH2CHOHCOOH。甘油与乙二醇相似,也可被四乙酸铅或高碘酸氧化。甘油与硫酸钾或浓硫酸加热,发生分子内失水,生成丙烯醛。与甲醛反应,生成甲醛缩甘油:

公式 符号

与其他的醛、酮也可发生同样的反应。

制法

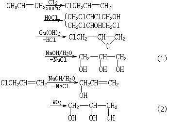
甘油是肥皂工业的副产物,也可用特种酵母发酵糖蜜制得。也可以丙烯作原料,通过下列步骤进行:

公式 符号 应用

甘油大量用作化工原料,如制造合成树脂、塑料、油漆、硝酸甘油和油脂、蜂蜡等;在制药、香料、化妆品、卫生用品等制造工业中,以及医疗上有较多的用途。

参考文章