[拼音]:sudutufa
[外文]:hodograph method
一种不用物理面中的坐标(x,y),而用速度面上的坐标(vx,vy)作为自变量来研究理想流体二维定常流动的方法。物理面是指流动平面,速度面则指以x和y方向的分速vx和vy为坐标的平面。在速度面上,极坐标用流速的模v和流速与x轴的夹角θ表示。用速度图法既可研究不可压缩流动,也可研究可压缩流动。速度图法的优点是:
(1)便于解速度面边界条件已定的问题。
(2)对于可压缩流,可以把原来非线性的基本方程变为线性方程。
求解不可压缩流19世纪德国科学家 H.von亥姆霍兹和G.R.基尔霍夫等人先后用速度图法研究过以直线壁(边界条件为θ恒定) 和自由面(边界条件为v恒定)为边界的流场,附图是说明应用速度图法的一个简单例子。图中a表示速度为V∞的匀直流(指无穷远处流线为直线并且相互平行,速度、静压和温度为常数的定常流动)流过一块垂直平板AOB,板后为分离区。 图中b画出速度面上的对应边界(图中用相同字母表示的点为物理面和速度面上的对应点)。在物理面上,自由面的形状是未知的,在速度面上则是由已知的直线和圆弧组成的。因此,这种流动在速度面上能很方便地求解。按规定的物面速度分布来设计物形的问题,有时也能用这种方法方便地求解。
求解可压缩流
定常平面可压缩位势流,其速度势ф(x,y)和流函数Ψ(x,y)同流速的关系为:
,
式中ρ为密度。在物理面上,流函数或势函数所遵循的方程是非线性的,难以求解。苏联学者С.А.恰普雷金在《论气体射流》(1902)一文中,首先提出把自变量改为速度面上的坐标。流函数Ψ的方程变为:
,
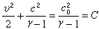
式中c为流场中任一点处的当地声速(见声速),它与流速v的关系是能量方程:
,
式中γ为比热比,c0为驻点(速度为零的点)处的声速;C为常数。这个方程是线性的,可用简单的基本解的叠加求出比较复杂的解。
速度图法的缺点是不能把物理面上的边界条件直接表达成速度面上的边界条件。对于给定物理面边界的流动问题,很难求解。中国学者钱学森用这种方法,结合一些近似假设,把速度面上的可压缩流动方程化为相应的不可压缩流动方程,求出可压缩流动和不可压缩流动中物面对应点上压强系数之间的关系(见卡门-钱学森公式)。对于按规定翼面速度分布设计翼型几何形状这一问题,由于速度面上的边界条件是规定的,所以比较容易求解。为了减小飞机作跨声速飞行时的波阻(见流体阻力),速度图法也已被用来设计跨声速飞机的超临界翼型。
- 参考书目
- A.H.夏皮罗著,陆志芳等译:《可压缩流的动力学与热力学》,上、下册,科学出版社,北京,1966、1977。(A.H.Shapiro,The Dynamics and Thermodynamics of Compressible Fluid Flow,vol.1~2,The Ronald Press Co.,New York,1968.)
- C.Ferrari and F.G.Tricomi, Transonic Aerodynamics,Aeademic Press, New York,1968.
- H. J. Wirz and J. J. Sinolderen, Numerical Methods in Fluid Dynamics, Hemisphere Pub. Corp.,Washington,London,1978.