Ïû³ý·´Ó¦

ʹ·´Ó¦Îï·Ö×ÓʧȥÁ½¸ö»ùÍÅ£¨¼û»ù£©»òÔ­×Ó£¬´Ó¶øÌá¸ßÆä²»±¥ºÍ¶ÈµÄ·´Ó¦¡£

·ÖÀà

°´Ê§È¥µÄÁ½¸ö»ùÍÅÔÚ·Ö×ÓÖеÄÏà¶ÔλÖýøÐзÖÀà¡£

1£¬2£­Ïû³ý

»ò³Æβ£­Ïû³ý¡£Îª´¦ÓÚÏàÁÚÔ­×ÓÉϵÄÁ½¸ö»ùÍÅʧȥºóÔÚÕâÁ½¸öÔ­×ÓÖ®¼äÉú³Éπ ¼üµÄ·´Ó¦¡£Á½Ô­×Ó¶¼ÊÇ̼ԭ×Óʱ¾Í·¢Éú³ÉÏ©Ïû³ý·´Ó¦£º

¹«Ê½ ·ûºÅ 1£¬1£­Ïû³ý

»ò³Æα£­Ïû³ý¡£ÎªÍ¬Ò»Ô­×ÓÉϵÄÁ½¸ö»ùÍÅʧȥºó¸ÃÔ­×ÓÐγɲ»´øµçºÉµÄµÍ¼Û½á¹¹£¨È翨±ö»òµªÏ©£©µÄ·´Ó¦£¨Ê½ÖÐRΪÌþ»ù£©£º

¹«Ê½ ·ûºÅ 1£¬3£­Ïû³ýµÈ

Ϊ·Ö±ðÁ¬ÔÚ1£¬3£­»ò¸üÔ¶µÄÏà¶ÔλÖÃÉϵÄÁ½¸ö»ùÍÅÏû³ýºóµÃµ½»·×´²úÎïµÄ·´Ó¦¡£ÕâЩ·´Ó¦Ò²¿É¿´Îª·Ö×ÓÄÚÈ¡´ú·´Ó¦¡£

Ïû³ý·´Ó¦ËÙÂÊ

ÔÚÀë×ÓÐÍ1£¬2£­Ïû³ý·´Ó¦ÖУ¬´ø×ųɼüµç×Ó¶ÔÒ»Æð´Ó·´Ó¦Îï·Ö×ÓµÄ1λ»òα̼ԭ×ÓÉ϶ÏÁÑÏÂÀ´µÄ»ùÍųÆÎªÀëÈ¥»ùÍÅ(L)£¬ÁíÒ»¸öʧȥµÄ»ùÍÅÍùÍùÊÇÁ¬ÔÚ2λ»òβ̼ԭ×ÓÉϵÄÇ⣬³ÆβÇâÔ­×Ó¡£ÀýÈ磬1£­äå¶¡ÍéÓëÇâÑõ»¯¼ØÔÚÒÒ´¼Öй²ÈÈ£¬äå´ø×żüºÏµç×Ó¶Ô¶ÏÁÑÏÂÀ´³ÉΪä帺Àë×Ó£¬βÇâÔ­×ÓÒÔÖÊ×ÓÐÎʽ¶ÏÁÑÏÂÀ´Óë¼îÖкͣ¬Í¬Ê±ÔÚ1ºÍ2λ֮¼äÐγÉÏ©¼ü£º

¹«Ê½ ·ûºÅ

ÕâÀàÏû³ý·´Ó¦µÄËÙÂÊÓë±´úÍé½á¹¹Óйأ¬ÔÚÏàͬÌõ¼þÏÂÒÔÈý¼¶Â±´úÍé×î¿ì£¬¶þ¼¶Â±´úÍé´ÎÖ®£¬Ò»¼¶Â±´úÍé×îÂý¡£ÓÉÓڼÊÇÇ׺ËÊÔ¼Á£¬ÒÔ¼îΪÊÔ¼ÁµÄÏû³ý·´Ó¦³£°éÓÐÇ׺ËÈ¡´ú·´Ó¦£¬Í¬Ê±Ò²¿ÉÄÜ·¢ÉúÖØÅÅ·´Ó¦£¬ÈýÖÖ·´Ó¦Ö®¼äµÄ¾ºÕùÓë±´úÍé½á¹¹¡¢ÊÔ¼ÁÐÔÄܺͷ´Ó¦Ìõ¼þµÈÒòËØÓйأ¬Ç¿¼îºÍ¸ßÎÂÓÐÀûÓÚ·¢ÉúÏû³ý·´Ó¦¡£

Ïû³ý·´Ó¦·½Ïò

ÔúÒÁ²É·òÏû³ý

¶þ¼¶ºÍÈý¼¶Â±´úÍé·Ö±ðÓжþºÍÈý¸öβ̼ԭ×Ó£¬ÈçÆä½á¹¹²»Ïàͬ£¬ËäÓпÉÄܵõ½¼¸¸ö²»Í¬µÄÏû³ý²úÎµ«Ö÷ÒªµÃµ½Ë«¼üÉÏÈ¡´ú»ù×î¶àµÄÈ¡´úÒÒÏ©¡£ÕâÊǦ¡.§®.ÔúÒÁ²É·òÓÚ1875Äê×ܽá³öµÄ¹æÂÉ£¬³ÆÎªÔúÒÁ²É·ò¹æÔò¡£´¼ÔÚËáÐÔÌõ¼þϼÓÈÈʧˮÉú³ÉÏ©Ìþ£¬Ò²ÒԵõ½ÔúÒÁ²É·ò²úÎïΪÖ÷¡£

»ô·òÂüÏû³ý

ΪËļ¶ï§¼î¼ÓÈÈ·Ö½âÉú³ÉÏ©ÌþµÄ·´Ó¦£¬Ö÷ÒªµÃµ½Ë«¼üÉÏÈ¡´ú»ù×îÉÙµÄÈ¡´úÒÒÏ©¡£ÕâÊÇA.W.von»ô·òÂüÓÚ1881ÄêÌá³öµÄ¹æÂÉ£¬³ÆÎª»ô·òÂü¹æÔò¡£

Àë×ÓÐÍÏû³ý·´Ó¦»úÀí

ÔÚÀë×ÓÐÍ·´Ó¦ÖУ¬°´Óйؼۼü·¢Éú±ä»¯µÄÏȺó˳Ðò²»Í¬£¬¿É·ÖÈýÖÖ·´Ó¦»úÀí¡£

µ¥·Ö×ÓÏû³ý·´Ó¦(E1)

·´Ó¦ÎïÏȵçÀ룬L ¶ÏÁÑÏÂÀ´£¬Í¬Ê±Éú³ÉÒ»¸öÕý̼Àë×Ó£¬È»ºóʧȥ βÇâÔ­×Ó²¢Éú³Éπ ¼ü¡£·´Ó¦·ÖÁ½²½½øÐУ¬¾ö¶¨ËÙÂʵĵçÀëÕâÒ»²½Ö»Óз´Ó¦Îï·Ö×Ӳμӡ£¹ÊE1µÄËÙÂÊÓë·´Ó¦ÎïµÄŨ¶È³ÉÕý±È£¬Óë¼îµÄŨ¶ÈÎ޹ء£

¹²éî¼îµ¥·Ö×ÓÏû³ý·´Ó¦(E1CB)

·´Ó¦ÎïÏÈÓë¼î×÷Óã¬Ê§È¥βÇâÔ­×Ó£¬Éú³É·´Ó¦ÎïµÄ¹²éî¼î¸ºÌ¼Àë×Ó£¬È»ºó´ÓÕâ¸ö¸ºÌ¼Àë×Óʧȥ L²¢Éú³Éπ¼ü¡£ÔÚÉú³Éπ¼üµÄ²½ÖèÖÐÖ»Óй²éî¼î¸ºÌ¼Àë×Ӳμӡ£E1CBÒ²·ÖÁ½²½½øÐУ¬·´Ó¦ËÙÂʲ»½öÓë·´Ó¦ÎïŨ¶È³ÉÕý±È£¬Ò²Óë¼îµÄŨ¶ÈÓйأ¬Æä¹ØÏµ½Ï¸´ÔÓ£¬ÔÚ¶àÊýÇé¿öÏÂÒ²³ÉÕý±È¡£Ò»°ã˵À´£¬Ö»ÓÐβ̼ԭ×ÓÉÏÁ¬ÓÐÏõ»ù¡¢ôÊ»ù»òÇè»ùµÈ×ãÒÔÎȶ¨¸ºÌ¼Àë×ÓµÄÇ¿Îüµç×Ó»ùÍŵķ´Ó¦Î²ÅÄܰ´E1CB»úÀí½øÐз´Ó¦¡£

Ë«·Ö×ÓÏû³ý·´Ó¦(E2)

·´Ó¦Ò»²½Íê³É£¬LµÄ¶ÏÁÑ¡¢βÇâÔ­×ÓÓë¼îÖк͡¢π ¼üµÄÉú³ÉÈýÕßЭͬ½øÐУ¨¼ûЭͬ·´Ó¦£©£¬·´Ó¦ÎïºÍ¼îͬʱ²Î¼Ó·´Ó¦¡£E2µÄËÙÂÊÓë·´Ó¦ÎïŨ¶ÈºÍ¼îŨ¶È¶¼³ÉÕý±È¡£ÉÏÊöÈýÖÖ»úÀíÒÔE2×îÆÕ±é£¬µ«²¢·ÇËùÓÐE2¶¼ÍêȫЭͬ¡£ÓÐЩE2ÖУ¬βÇâµÄ¶ÏÁÑÉÔÏÈÓÚLµÄÀëÈ¥£¬Çé¿öÔÚÒ»¶¨³Ì¶ÈÉÏÓëE1CBÏàËÆ£¬³ÆÎª¡°½Ó½üE1CBµÄE2¡±£»ÁíһЩE2µÄÇé¿ö¸ÕºÃÏà·´£¬LµÄÀëÈ¥ÉÔÏÈÓÚβÇâµÄ¶ÏÁÑ£¬ÔÚÒ»¶¨³Ì¶ÈÉÏÓëE1ÏàËÆ£¬³ÆÎª¡°½Ó½üE1µÄE2¡±¡£Ò»°ãµÄE1¡¢¡°½Ó½üE1µÄE2¡±ºÍµäÐ͵ÄE2µÈ·´Ó¦¶¼ÒÔ·¢ÉúÔúÒÁ²É·òÏû³ýΪÖ÷£¬¶øE1CBºÍ¡°½Ó½üE1CBµÄE2¡±È´ÒÔ·¢Éú»ô·òÂüÏû³ýΪÖ÷¡£

ÔÚE1ºÍE1CBÖУ¬·´Ó¦¾ù·ÖÁ½²½½øÐУ¬¸÷×ԵĻîÐÔÖмäÌåÕý̼Àë×Ӻ͸ºÌ¼Àë×Ó¶¼¾ßÆ½Ãæ½á¹¹£¬Ò»°ã²»´æÔÚÁ¢ÌåÑ¡ÔñÐÔÎÊÌâ¡£µ«ÔÚE2ÖУ¬Ö»ÓÐL¡¢αºÍβ̼¼°βÇâËÄÕß´¦ÓÚ¹²Æ½ÃæµÄ¿Õ¼äλÖ㬲ÅÓÐÀûÓÚЭͬ·´Ó¦µÄ½øÐУ¬¶ø·ûºÏÕâÖÖÒªÇóµÄ¿Õ¼äÅÅÁÐÓÐÁ½ÖÖ£ºLºÍβÇâÔÚα¡¢β̼ͬһ±ßʱ£¬·¢Éú˳ʽÏû³ý£»LºÍβÇâÔÚα¡¢β̼µÄÁ½±ßʱ£¬·¢Éú·´Ê½Ïû³ý¡£ÔÚ´ó¶àÊýÇé¿öÏ£¬E2Ϊ·´Ê½Ïû³ý£¬µ«²»Åųý˳ʽÏû³ýµÄ¿ÉÄÜÐÔ£¬ÉõÖÁÓÐЩ·´Ó¦ÎïÓÉÓڽṹµÄÏÞÖÆ£¬Ö»ÄÜ·¢Éú˳ʽÏû³ý¡£

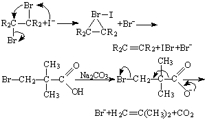
ÓÐЩ·´Ó¦ÎïÔÚ β̼ԭ×ÓÉÏÁ¬ÓбÈÇâ¸üÈÝÒ×±»Â·Ò×˹¼î£¨¼ûËá¼îÀíÂÛ£©×÷ÓõĻùÍÅ»òÕ߸ù±¾Ã»ÓÐ βÇ⣬ËüÃǾÍÓпÉÄÜ·¢Éú²»É漰ʧȥ βÇâµÄÏû³ý¡£Á¬¶þ±´úÍéÔÚµâÀë×Ó»òпµÄ×÷ÓÃÏ·¢ÉúµÄÍѱ·´Ó¦ºÍ ᣬᣭ¶þÍé»ùβ£­Â±´úËáµÄÍÑôÈ·´Ó¦¶¼ÊôÓÚÕâÖÖÇé¿ö£º

¹«Ê½ ·ûºÅ

ÈÈÏû³ý·´Ó¦

Ò»°ãÔÚÆøÏà½øÐУ¬ÊDz»ÐèÒªËá»ò¼î´ß»¯µÄµ¥·Ö×Ó·´Ó¦¡£·´Ó¦Îïͨ¹ý»·×´¹ý¶Éֱ̬½Ó°Ñ βÇâ×ªÒÆµ½LÉÏ£¬Í¬Ê±Éú³Éπ¼ü£¬Òò´ËÊÇ˳ʽÏû³ý£¬²¢Ö÷ÒªµÃµ½»ô·òÂü²úÎï¡£ôÈËáõ¥¼ÓÈÈÖÁÔ¼400¡ãC£¬±ã·¢ÉúÈÈÏû³ý£º

¹«Ê½ ·ûºÅ

»ÆÔ­Ëáõ¥¿ÉÔÚÔ¼200¡ãC·¢ÉúÈÈÏû³ý£¬³ÆÎª³þ¼ÓÒ®·ò·´Ó¦£º

¹«Ê½ ·ûºÅ

ôÈËáõ¥ºÍ»ÆÔ­Ëáõ¥¶¼ÈÝÒ×ÓÉ´¼ÖƵã¬ËùÒÔÕâЩÈÈÏû³ýÊÇ´¼Àà¼ä½Óʧˮ³ÉÏ©µÄ·½·¨£¬¿É½èÒÔ·ÀÖ¹´¼ÔÚËá´ß»¯Ö±½ÓʧˮÖг£°éÓеÄÖØÅÅ¡£Èý¼¶°·Ñõ»¯Îï¼ÓÈÈÔ¼ÖÁ 150¡ãC×óÓÒÒ²·¢ÉúÈÈÏû³ý£¬³ÆÎª¿ÆÆÕ·´Ó¦£º

¹«Ê½ ·ûºÅ

Èý¼¶°·Ñõ»¯Îï¿ÉÓÉÈý¼¶°·ÓùýÑõ»¯ÇâÑõ»¯ÖƵ㬲úÎï²»¾­·ÖÀë¾Í¿É½øÐÐÈÈÏû³ý£¬ÈçÒÔ¶þ¼×ÑÇí¿»òËÄÇâß»à«ÎªÈܼÁ£¬ÔÚÊÒξÍÄÜ·¢Éú·´Ó¦¡£