生物流变学

生物力学的一个分支,研究生物活组织(包括硬组织、软组织、体液)的变形和流动的学科,它从力学的一般原理出发,通过实验,确定不同条件下生物活组织的力学性能,建立本构关系,因而是生物力学的基础。生物流变学一词是美国学者A.L.科普利于1948年在第一届国际流变学会议上提出的。但其发端可追溯到1842年法国医生J.-L.-M.泊肃叶对血液流动的研究。其后百余年无甚进展。20世纪60年代后发展迅速,现已成为一个独立的科学领域。1969年成立了国际生物流变学会,出版国际性的学术刊物《生物流变学》。

生物流变学涉及范围很广。细胞(如红血球)、亚细胞组织(如染色体)的变形规律,血液和其他体液的流变性质,各种软、硬组织的力学性能,肌肉的收缩过程,整个器官的力学行为,生物发生、生长过程(如卵细胞受精、细胞分裂过程等)中的流变问题,组织、体液流变性质变异与疾病的关系等都是生物流变学研究的对象。对这些问题的研究,不但加深了对人体生理、病理过程的认识,其结果还可以应用于临床。

与一般流变学不同,生物流变学的实验分为在体(invivo)实验和离体 (in vitro)实验两种。在体实验的优点是试样处于生理环境之中,但实现困难,且因实验条件不可控制,难于获得准确的定量结果。离体实验可获较准确的结果,但由于生物组织的构造高度有序,其性质对环境因素(温度、pH值、取样方法等)相当敏感,如何无损地取样,再在实验过程中保证试样能近似地处于原生理条件之下,是离体实验成败的关键,也是生物流变学研究的困难所在。另一方面,生物活组织大多是各向异性的非线性粘弹性体,具有多层次微结构,现有的连续介质假设理论不足以描述其性能。因此,对生物活组织本构关系的研究,迄今仍处于探索阶段。不仅如此,生物流变现象还和表面物理、化学过程有关,目前的研究已深入到生物大分子水平。

生物流变学包括血液流变学、软组织流变学、肌肉力学和骨力学等主要分支学科。

血液流变学

生物流变学领域内最先出现和最为活跃的一个分支。它研究血液流动和红血球变形时的力学性质。血是血浆(约占总体积50%)、红血球(约占总体积50%弱)、白血球、血小板等组成的悬浮液体。当流动的特征尺度远大于红血球直径时,血液可视作均质流体,可用传统的流变学方法处理。实验结果表明,血液是一种具有粘弹性的牛顿流体(见非牛顿流体力学),其性质取决于:

(1)血浆的流变性质:血浆是牛顿流体,比重约为1.03,常温下的粘度约为1.2×10-3帕·秒;

(2)红血球比积(符号为H):红血球在血液中所占的容积比;

(3)红血球的力学性质;

(4)血浆蛋白质,特别是纤维蛋白元的含量和物理、化学性质。

血液的粘度

表征血液流变性质的重要指标。在正常生理范围内,血液的弹性对其流动规律影响不大,可看作均质的粘性流体,其粘性可用粘度计测定。若测量结果用牛顿流体公式τμ夲表示,则所得粘度μ不是常数,而随流动剪应变率的增大而减小(图1),式中τ为剪应力(见应力);夲为剪应变率。这说明血液是非牛顿流体,红血球比积越高,剪应变率越低,非牛顿性就越显著。当流动剪应变率较高(>200秒-1)时,μ趋于常数。此时,血液可近似看作牛顿流体。

图1 图2

若将测量结果绘于堥-垰图上(图2),则在相当宽的流动剪应变率范围内,实验数据落在一条不通过原点的直线上。这样,血液的粘性行为可用卡森方程表示:

公式 符号

式中τ公式 符号为血液的屈服应力(见屈服条件),对于正常人血,τ公式 符号=5×10-5牛顿/米;a为同H和温度有关的系数。

血液流过人体器官时的流变行为同红血球与血管壁的相互作用密切相关,不能用卡森方程描述。为此,引进表观粘度(μa)和相对粘度(μr),以表征红血球-血管壁相互作用对流动行为的宏观效应。

(1)表观粘度 对牛顿流体来说,剪应力与剪应变率之比为:

公式 符号

式中μ为常量,称为流体的粘度。对非牛顿流体来说,若形式地定义一个量公式 符号,则μa不是一个常量,但量纲与牛顿流体中的μ相同,称为表观粘度。

(2)相对粘度 血液表观粘度与血浆粘度之比称为相对粘度(μr)。表观粘度和相对粘度并非血液的固有属性,它们因流动条件而异,要确定它们的值,往往相当麻烦。

管径效应

血液在血管内的流动要通过不同直径的血管。当管径较大、流量较高时,血液流动为泊肃叶流动(见管流)。但当管径小(例如小于1毫米)时,由于红血球与管壁的相互作用及其他原因,血液流动不再是泊肃叶流动。这类现象称为管径效应,主要有法罗伊斯效应和法罗伊斯-林奎斯特效应两种。

(1)法罗伊斯效应 当血液从较大的容器流进直径小于1毫米的细管时,管内红血球比积(H)随管径减小而降低。这一现象首先为R.法罗伊斯于1929年发现,1971年J.H.巴比和G.R.科克莱特用不同的装置,观察到同样的现象。1977年,颜荣次和冯元桢通过模型实验进一步发现,当管径接近红血球直径时,管内红血球比积随管径的减小而增大,即法罗伊斯效应逆转。

(2)法罗伊斯-林奎斯特效应 1931年法罗伊斯和T.林奎斯特通过实验发现,血液流过小血管(直径小于1毫米)时,在同样流量下,压降随管径的减小而变小。若应用泊肃叶流动公式,则血液的表观粘度随管径的减小而降低。这种现象称为法罗伊斯-林奎斯特效应。造成这种效应的原因有二:一是法罗伊斯效应,即小管血流表观粘度的减小是红血球比积降低的结果;二是壁面血浆层的存在,使血流阻力降低。当管径等于或小于红血球直径时,血流压降随管径的减小而剧增,即法罗伊斯-林奎斯特效应逆转。

红血球的变形及其膜的力学性质

分述如下:

(1)红血球的几何形状 在等渗的白蛋白溶液里,红血球处于自然状态,呈双凹碟形。由于可见光波长和红血球最小厚度同量级,无法在光学显微镜下准确地确定它的形状。为此,E.A.埃文斯和冯元桢于1972年提出一个假设,即红血球是双凹碟形旋成体,其厚度 D沿径向的分布为:

公式 符号

式中R0为红血球最大旋转半径;C0C2C4为待定系数。按物理光学原理,可算出双凹碟形旋成体在显微镜下的像,再用干涉显微镜确定真实红血球的像。两者拟合,就能确定R0和其他待定系数,从而得到自然状态红血球的准确的几何形状。据埃文斯和冯元桢的测量,当溶液渗透压为300mOsm时,R0为3.9微米,C0为0.81微米,C2为7.83微米,C4为4.39微米。由此可得自然状态红血球最大直径约7.82微米,表面积约135平方微米,体积约94立方微米,剖面形状如图3。

图

(2)自然状态红血球的应力分析 实验表明,红血球的形状和体积很容易改变,但其表面积却几乎不变。红血球膜的面积模量约为剪切模量的1000倍。1966年,冯元桢分析了自然形状红血球膜在静态下的应力,结论是:在自然形态下,红血球内、外压力相等,膜应力为零;否则,最大厚度点上膜应力趋于无限大。另一方面,双凹碟形旋成体表面是一种可展开的可贴合曲面,它可以变为种种可贴合曲面,而膜应力不变,因而红血球取双凹碟形有利于变形。

软组织流变学

皮肤、内脏、血管等统称软组织。它们的力学性能很不一样,但共同之处是:

(1)在生理范围内,它们的变形都很大,如皮肤的应变可达200%;

(2)同一试样在加载和卸载时应力-应变曲线不重合,因而形成滞后环(图4),而且有应力松弛(图5)和蠕变现象(图6)。可见,软组织的应力取决于应变的历史过程,即为粘弹性体(见粘弹性理论)。上述两点给软组织的理论和实验研究提出如下一系列新问题:

预调制

软组织试样不存在唯一的自然状态。为使实验数据可以比较,在实验前,需按一定程序加载、卸载,反复若干次,直至所得结果可以重复,才开始取数据。此过程称预调制。

图4 图6 图5 准线性理论

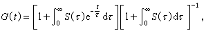
生物软组织变形很大,其力学性能不能用线性理论描述。1972年,冯元桢根据多种软组织一维拉伸实验结果,提出了准线性理论。假设应变的历史效应G(t)和瞬时弹性反应公式 符号(λ)可以分开处理,因而任一时刻t的应力T(t)为:

公式 符号

式中λ为伸长比;公式 符号(λ)为λ的非线性函数,因具体组织而异;G(t)为归一化松弛函数。由于软组织滞后环对应变率的改变不敏感,其松弛谱很宽。冯元桢设:

公式 符号 公式 符号

式中Cτ1τ2为经验常数,因具体组织而异。

拟弹性假说

实验表明,软组织应力-应变关系对应变率的改变不敏感。冯元桢据此提出拟弹性假说,即:生物软组织可看作弹性体,但在加载和卸载过程中弹性系数不同。这样,多维应力下大变形的性能可用应变能函数描述。设单位质量应变能为w,密度为ρ,应变主轴为xi(i=1,2,3),则基尔霍夫应力为:

公式 符号

式中εi为应变,公式 符号λi为主伸长比。对不同的软组织,有各种经验应变能函数。大体可分为两类:多项式型和指数型。两相比较,多项式型的系数对实验数据的改变十分敏感,因而系数没有确定的物理意义,而指数型则好得多。

肌肉力学

肌肉的力学特性不同于其他软组织,传统上把肌肉作为单独的一类进行研究。人体肌肉分骨肌、心肌和平滑肌三类。它们不但能承载,还能兴奋而产生力。肌肉力学的任务就是要认识肌肉收缩的力学规律,建立兴奋状态肌肉的本构关系。

研究得最早的是骨肌。1938年,英国学者A.V.希尔根据他所做的蛙缝匠肌的大量实验,提出了肌肉收缩的力学模型(希尔模型),建立了著名的希尔方程,为整个肌肉力学奠定了基础。由于微结构研究的深入,H.E.赫克斯利于1957年提出关于肌肉收缩的纤维滑移假说。近年来,不少学者由此出发,把肌肉的力学性能当作肌浆球蛋白纤维和肌动蛋白纤维之间关系的动力学问题来研究。就力学性能而言,心肌和骨肌的不同之处有二:

(1)静休状态下骨肌的应力与兴奋态下相比可以忽略,心肌则不能忽略;

(2)心肌不能挛缩。平滑肌的研究最为困难。这不仅因为它的力学性能因组织而异,必须逐一研究,还因为平滑肌细胞比横纹肌细胞小得多,实验非常难做。从现有的有限实验结果看,平滑肌力学性能具有以下特点:

(1)静休状态下平滑肌的张力可等于或大于兴奋态主动张力;

(2)静休状态平滑肌的力学性能与它的兴奋状态有关;

(3)有些平滑肌在机械刺激或有利环境下会自发地、节律性地收缩。

总之,肌肉力学研究中最大的困难在于不易得到适宜的肌肉试样和实验方法,以保证试样的活性。目前关于骨肌收缩特性的知识,几乎完全来自蛙缝匠肌实验结果;对心肌的认识,则来自猫、兔等小动物的乳突肌实验;而平滑肌的实验仅限于输尿管和带状结肠肌等少数几种。

希尔方程

描述骨肌力学性质的著名方程。希尔以蛙缝匠肌为试样,保持长度为L0,加电刺激使其挛缩产生张力T0,然后将试样一端松开,肌纤维以速率v缩短,张力T也随之降低。根据测量,希尔得出如下经验关系:

(aT)(vb)=b(T0a),

这就是著名的希尔方程。式中abT为独立参数;T0强烈地依赖于L0

希尔模型

肌肉收缩的力学模型。假设静休状态下的张力与兴奋状态相比可忽略不计,则肌肉收缩过程可以用图7a所示的力学模型表征。它由收缩元和串联弹性元构成。 收缩元满足张力-速度关系,从等长挛缩状态下快速释放时,服从希尔方程;串联弹性元则表征肌肉收缩过程中的张力-长度关系。两者均通过实验确定。

图

当静休状态下肌肉张力不可忽略时,若设静休状态张力与兴奋状态无关,则可将肌肉的张力分解为主动张力和被动张力,后者用一并联弹性元表示,它和收缩元、串联弹性元组成三元素模型(图7b)。并联弹性元服从静休肌肉的应力-应变关系;收缩元用希尔方程和表示兴奋程度的活化因子表示;串联弹性元的性质则通过快速释放实验、等长收缩-等张收缩过渡实验而确定。希尔三元素模型的根本弱点是:各元素之间,力和应变的分配是任意的,由实验确定的各元素的性质依赖于所取模型的形式,不是肌肉的固有性质,因而不是唯一的。实践证明,如果静休状态应力可以忽略,希尔二元素模型能获得良好近似;如果静休状态应力不可忽略,希尔三元素模型不能满足要求。

骨力学

骨和软骨是特殊的固体材料。它们和其他工程材料相比,最明显的特点是具有生命,不停地经历着复杂的物理、化学过程,以适应各种体外环境和内在环境。在生物力学中,研究骨和软骨的目的在于剖析骨和骨骼系统的力学性质,揭示骨骼生长、发育、畸变、衰退和死亡同力学作用间相互关系,给出生命科学中这类力学问题的精确的定量分析。

建立本构关系是对骨和软骨这类生物材料进行力学分析首先要解决的问题。各种骨骼的构造形式、组成成分、个体形状等差别很大,以人体骨骼为例,颅骨、股骨、掌骨、脊椎骨的力学性质就有很大的差别,加上研究目的不同,因此需要采用不同的本构关系。目前,骨和软骨的本构关系和模型基本上还处在借用工程材料的本构关系的状态。尽管如此,据此做出的不少骨骼力学分析仍是很有意义的。对人体主要骨骼,如颅骨、股骨、脊椎骨、膝盖骨等作出的许多静力学和动力学的分析,与临床表现很接近。这些分析对于生物医学工程颇具指导意义。

骨和软骨的力学性质

骨的主要成分是胶原纤维和羟磷灰石[3Ca(PO4)2·Ca(OH)2],骨组织疏松,空隙中充满血液等液体,软骨中含有更多的水分。因而骨和软骨是一种由固相和液相组成的二相非均质材料。表给出新鲜人体膝关节处骨和软骨杨氏模量和泊松比的实验结果。骨骼离体干燥后,力学性质有明显的变化。图8是干、湿股骨的应力-应变曲线。

表 图8

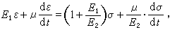
可以依据实验,建立骨的本构关系。最简单的模型可采用理想线性弹性体模型,相应的本构关系就是熟知的广义胡克定律。若将骨和软骨看成流变体,则可用图9所示的模型来模拟骨的粘弹性性质,本构关系为:

公式 符号

式中E1E2分别为并联弹性元和串联弹性元的杨氏模量;μ为粘性元的动力粘性系数; σε分别为应力和应变。在有些情况下,还可采用更简化的本构关系。麦克斯韦模型和佛克脱模型分别给出下列更简化的本构关系:

公式 符号

不难看出,可用麦克斯韦模型描述骨和软骨在常应变条件下的应力松弛现象,可用佛克脱模型描述在常应力条件下的蠕变性质。

图 骨骼消长与应力的关系

骨骼的生长、发育、萎缩和消退同它所受应力的大小有密切关系。F.鲍威尔的研究结果表明,在应力的某一最优值σS作用下,骨的定常变化是平衡的,即聚集的骨与再吸收的骨一样多。在允许应力的上、下极限σ0σn范围内,当实际应力σi大于最优值σS时,骨聚集占优势,而当σi小于σS时,则再吸收占优势。若σi大于σ0或小于σn,都会出现病理性伤害。因此,骨骼消长与应力的关系可用一个反馈控制系统来描述:作用力在骨中引起应力和应变,应变对骨的变化过程是一种刺激,在稳定平衡(最优应变时)状态下,骨组织的成骨细胞和破骨细胞的活性是相同的。比最优值大的应变使成骨细胞更活跃,会导致骨的异常生长,从而使承载面增大,应力降低,可能降到低于最优值。这时破骨细胞变得更活跃,骨发生萎缩,承载面减小,应力又重新上升。这样,重复上述生理过程,形成了一个自动反馈控制系统。

由此可见,若应力保持在正常生理限度内,则经常使用的器官就会发育,骨质密实,否则就将萎缩,骨质疏松。对骨骼的X射线检查可以观察到,骨质增生常发生在应力增大的部位,这也说明了骨骼的消长与应力有密切的关系。

参考书目
  1. 冯元桢著:《生物力学》,科学出版社,北京,1983。
  2. Y.C.Fung, Biomechanics, Mechanical Properties of Living Tissues,Springer-Verlag,New York,1981.
  3. Y.C.Fung,N.Perrone and M.Anliker,Biomechanics,Its Foundations and Objectives,Englewood Cliffs, New Jersey, 1972.