维生素D

一组固醇类脂溶性维生素。其代谢产物1,25-二羟维生素D〔1,25-(OH)2D〕为维持人体钙磷代谢所必需的一种激素。1916年,维生素D从鳕鱼肝脏中分离出。后证实有维生素D2(骨化醇或称麦角骨化醇)和维生素D3(胆骨化醇)两种(图1),以D3为最重要。 D3源于动物,为紫外线照射人与动物皮肤后,由皮肤内的 7脱氢胆固醇转化而成,D2源于植物,为紫外线照射麦角固醇形成,极微量存在于自然界。D2、D3皆可人工合成,D4为人工合成的D2类似物。D2与D3生物化学特性及对人的生理功能相似。D4哺乳动物的作用只有D3或D2的2/3或3/4。D5、D6结构亦类似,对人类无重要性。维生素 D经吸收进入人体血液,与特异的维生素D结合 α-球蛋白(DBP)相结合,迅速进入肝脏,经25-羟化酶的作用形成 25-羟维生素D(25-OHD);再经血到肾脏,由于1-α 羟化酶的作用,转化成生物活性很强的 1,25-(OH)2D,其化学结构、生物学作用方式均似类固醇激素。它促进肠道对钙、磷的吸收;增进肾曲管对钙、磷的回吸收;促使钙、磷自骨中溶于血;同时促进钙、磷沉着于骨基质,故维生素 D能预防及治疗佝偻病和骨软化症。

图

维生素 D缺乏可致小儿佝偻病、婴儿手足搐搦症及成人骨软化症,并为老年骨质疏松的病因之一。维生素D过量可致中毒,使血钙升高,肾、心血管、肺、脑等脏器钙沉着,严重者可致肾功能衰竭甚至危及生命。  维生素D3在皮肤内的合成 皮肤生发层的7-脱氢胆固醇(即D3原)经紫外线照射,首先形成前D3,在皮肤温度作用下,再转化成D3(在体温下,约需36小时)。持续紫外线照射使部分前D3转化成光固醇或速固醇贮于皮肤内。前D3用尽时,紫外线照射可使二者又转化为前D3,再形成D3,D3与维生素D结合 α-球蛋白结合入血。D3的形成为光化学作用,不需酶类。紫外线不能穿透普通窗玻璃,但在户外荫凉处可受到紫外线照射,大气飘尘和衣着皆影响紫外线穿透。

代谢

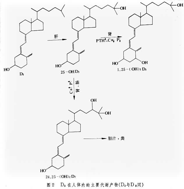
D2、D3在人体内的主要代谢过程见图 2。自皮肤形成的D3与 DBP结合经血入肝。口服的D2或D3至小肠,在胆盐的作用下,与脂质一同自粘膜吸收成乳糜微粒经淋巴系统入肝;注射的D2或D3吸收后也经血入肝。在肝细胞微粒体经25-羟化酶的作用形成25-OHD入血,25-OHD为血清中多种维生素D代谢产物中含量最多且最稳定的一种,其血清浓度可代表机体维生素D营养状态,正常值约11~68ng/ml。25-OHD经血入肾,在近端曲管细胞的线粒体内经1-α 羟化酶的作用生成1,25-(OH)2D,其产生受内分泌系统的严格控制,其血清含量随人体对钙、磷的需要而增多或减少。血 PTH(甲状旁腺素)的升高及钙、磷降低,使1-α 羟化酶活性增强,致1,25-(OH)2D增多,血钙、磷增高时,24-R羟化酶活性增强,使24,25-(OH)2D增多。许多组织的细胞有1,25-(OH)2D的受体,如小肠粘膜细胞、骨细胞、肾远端曲管细胞、皮肤生发层细胞、胰岛细胞及乳腺细胞等。肾、肠、软骨等细胞的线粒体并有24-R羟化酶,在血钙、磷正常或升高时,25-OHD在肾、肠经24-羟化酶羟化成24,25-(OH)2D,其生物活性远低于1,25-(OH)2D。

正常人摄入D2或D3后,80%以上可自小肠吸收,其代谢物与部分D2或D3自胆汁及粪便排泄(图2)。4%以下自尿排出。摄入或充分晒太阳后合成较多量维生素D时,可储于脂肪及肝达数月。

图 作用

1,25-(OH)2D通过细胞的特异受体作用于靶器官

(1)促进钙、磷自小肠吸收。1-25(OH)2D与肠粘膜细胞的胞浆受体结合后,运入胞核,促进基因表达合成钙结合蛋白(CaBP),使钙离子(Ca2+)自小肠粘膜乳头上皮细胞的刷毛缘吸收。

(2)动员骨钙、磷到血。使骨钙与CaBP结合入血。

(3)使骨无机盐化。刺激成骨细胞,促使钙、磷沉着于骨。

(4)通过远端肾小管细胞受体,与 PTH共同增进钙的回吸收;血钙升高后抑制PTH(PTH增多尿磷),而增加磷的回吸收。

(5)通过特异受体,增加皮肤生发层的7-脱氢胆固醇含量,使胰岛细胞增多胰岛素的产量;增加乳腺对钙的运转等。

调节

血清钙降低时,PTH迅速升高,刺激肾1-α 羟化酶活性增强,产生 1,25-(OH)2D增多。血清磷降低则可直接增强肾1-α羟化酶活性,增加1,25-(OH)2D的形成。1,25-(OH)2D可抑制1-α羟化酶活性,但引发24-R羟化酶活性。降钙素(CT) 与1,25-(OH)2D提高血清钙、磷的作用相反,使钙、磷沉着于骨以保持骨的硬度,并避免血钙过高。血清钙升高可抑制肾1-α 羟化酶,但刺激24-羟化作用。1,25-(OH)2D、PTH与CT互相反馈调节,以维持人体正常钙磷代谢。在妊娠和哺乳时,催乳素和雌激素可增加1,25-(OH)2D的生成,以提高对钙的吸收。

需要量

国际公认每人每日维生素D需要量为400国际单位(IU,1IU=0.025μg),不分年龄。

缺乏

维生素 D缺乏可致佝偻病、手足搐搦症、骨软化病、骨质疏松症。中国小儿佝偻病发病率较高,病因为日照不足、维生素 D摄入不足及肝、肾疾患与先天、后天因素所致维生素 D吸收或代谢障碍。苯巴比妥可增加维生素D的代谢,增快其非活性代谢物的排出,减少体内维生素 D的储存。苯妥英钠(大仑丁)影响CaBP而抑制钙吸收。长期服抗癫痫药的病人血清25-OHD降低并可发生骨软化症。长期服某些安眠药的非癫痫患者也可有骨质疏松。对这些病人应及早加服生理需要量的维生素D。中国国内常用的维生素D制剂有不同浓度的维生素AD滴剂(溶于植物油中)或鱼肝油、胆维丁(D3)及 D2片剂、维生素AD或D胶丸和D2、D3针剂等。另有双氢速固醇,又名AT-10,为D3还原产物,临床应用能提高血清钙,对低钙惊厥有效。AT-10在肝被25-羟化,不需肾1-α 羟化即对肠、骨有活性,国外常用于治疗家族性低磷血症。

人体维生素 D缺乏时,钙的吸收减少,体内常缺钙。除乳类外,一般食品中含钙量常较少,中国人群钙摄入量常低于营养标准,故治疗维生素D缺乏性疾病时,应补充适量的钙,有利于骨的钙化。但给钙不宜过多以免影响铁、锌等矿物质的吸收。

毒性

无论口服或注射,维生素 D过量均可致中毒。对维生素D的耐受量个体差异很大,连续大剂量肌内注射最易导致中毒。中毒的主要表现为血清钙增高及肾、心血管、肺、脑等全身异位钙沉着,严重者肾、脑等脏器大片钙化,死因多为肾功能衰竭。

营养水平鉴定

血清25-OHD浓度可代表机体维生素D营养状况,可用竞争蛋白结合放射免疫法或高效液相法测定。人血清25-OHD的正常值约为11~68ng/ml,11ng/ml以下为缺乏,68ng/ml以上为过高。维生素D中毒时除血清25-OHD升高外,皆伴有血清钙升高及沿血管的异位钙沉着。

来源

人的自然食物中除海鱼外,含维生素D皆很少(见表)。

图

一般人每日从食物中得到的维生素D很难超过100IU,包括婴儿在内。主要靠日光照射在皮肤内生成。需开窗或在室外接受日照,夏季可在荫凉处接受反射的日光照射。1920年代以来,用海鱼的肝脏制成鱼肝油,内含多量维生素A与D。1936年以来,发达国家在牛奶中强化D2或D3(400IU/L)对预防佝偻病起了很大作用。现各国的婴儿配方奶粉也都强化了D2或D3,约400IU/100g。中国北京自 1987年制造了维生素 A、D强化牛奶,内含维生素A2000IU/L 、D600IU/L,初步效果尚属满意。

临床应用

用以预防及治疗佝偻病、骨软化病和婴儿手足搐搦症等。

参考文章