穿破石

概况

基源:为桑科柘属植物构棘和柘树的根皮。

原植物:构棘Mac[ura cochinchinensis(Lour.)Corner和柘树Maclura tricuspidata(Carr.)Bur

余项参见“奴柘刺”和“柘木”条。

生药

采集:全年可采挖根,削去支根,晒干。药材产于广东、广西、福建等地。

鉴别

性状:根圆柱形,粗细不一,粗者可至5~6cm;栓皮橙黄色或橙红色,有细密横皱纹,菲薄如纸,极易脱落;栓皮脱落后表面灰黄色,并有棕黄色斑块。质坚硬。横切面皮部薄,纤维性,木部发达,黄色,满布细小密集的导管;有的有小的髓。气微,味淡。以皮色黄、根条匀者为佳。

显微 根横切面:木栓层为10余列扁平细胞,橙黄色。韧皮部外端石细胞成群散列,长条形、椭圆形或类圆形,直径30~50μm;有多数纤维束,草酸钙方晶随处散在。形成层成环。木质部中木纤维数十成群。木射线宽2~3列细胞,有纹孔。(图见《中药志》.第2册.第2版.473页.图349)

加工炮制:取原药材,除去杂质,洗净,润透,斜切薄片,晒干。

贮藏:置干燥处。

化学性质

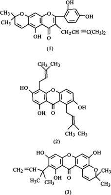
主要活性成分为黄酮和酮。黄酮类有:山柰酚、二氢山柰酚、槲皮素、花旗松素(Taxifolin)、杨树甙(Populnin)、香橙素(Aromadendrin)、桑色素(Morin)、二氢桑色素、华报春甙(香橙素-7-O-葡萄糖甙,Sinensin)[1]、杨梅树皮素(Myricetin)[2]、柘树异黄酮A(CudraisoflavoneA)[3]、柘树黄烷酮A(Cudraflavanone A)[45]、槲皮黄甙(Quercimeritrin)、环木波罗辛(Cyclo artocarpesin)[5]、柘树黄酮A(Cudraflavone A)、柘树黄酮B(Cudraflavone B)(1)[6]、柘树黄酮C(Cudraflavone C)、柘树黄酮D(Cudraflavone D)[7]酮类有:柘树酮(Cudraniaxanthone)、欧萨亚酮(Osajaxanthone)[1]、柘树鮨酮A、B、C(Cudraxanthone A,B,C)[8,9]、柘树酮D(Cudraxanthone D)[9]、柘树酮E、F、G(Cudraxanthone E.F,G)[10]、柘树鮨酮H(Cudraxanthone H或Gerontoxanthone H)(2)[11,12]、柘树鮨酮I、J(Cudraxanthone I,J)、柘树酮K(Cudraxanthone K)(3)[11]、旧柘树酮E、G、I(Gerontoxanthone E,G,I)[12]。此外还含牛油果醇(Butyrospermol)、牛油果醇乙酸乙酯、谷甾醇、香荚兰酸、延胡索酸甲酯(Monomethyl fumarate)、对羟基苯甲酸、水苏碱[Stachydrine][1]、柘树宁(Cudranin)[2]

附 茎中含胡萝卜甙、β-谷甾醇、木波罗辛(Artocarpesin)、去甲木波罗亭(Norartocarpetin)、5-O-甲基染料木素(5-O-Megenistein)[13]

参考文献

[1] 新华本草纲要.第2册.上海科学技术出版社,1991:22。
[2] 新华本草纲要.第2册.上海科学技术出版社,1991:23。
[3] Phytochemistry 1988;27(3):951。
[4] CA 1984;101:51687r。
[5] Planta Med 1985;51(3):190。
[6] Planta Med1984;50(2):161。
[7] CA 1990;113:208395s。
[8] Planta Med1984;50(3):218。
[9] CA 1983;98:122824r。
[10] Planta Med1990;56(4):399。
[11] Planta Med 1990;56(5):478。
[12] Phytochemistry 1989;28(10):2823。
[13] CA 1989;111:130749x。

药性

性味:淡、微苦,凉。 ①《生草药性备要》:“甜,平。” ②《闽东本草》:“甘,温。” ③广州部队《常用中草药手册》:“淡、微苦,微凉。” ④《广西实用中草药新选》:“微苦、微甘,平。” ⑤《云南中草药选》:“淡、微甘,凉。”

功效:祛风利湿、活血通经。

主治:风湿关节疼痛,黄疸,淋浊,蛊胀,闭经,劳伤咳血,跌打损伤,疔疮痈肿。 ①姚可成《食物本草》:“治疮疡疥癣。” ②《生草药性备要》:“治酒顶,消蛊胀,浸酒去风。” ③《本草求原》:“壮筋骨,活血,理跌打。” ④《岭南采药录》:“祛风湿,十蒸九晒;治跌打,酒煎服;肩疮和蜜捣敷。” ⑤《南宁市药物志》:“破血通经,治淋浊,去远年瘀积,结石。” ⑥《闽东本草》:“健脾益胃,舒筋活络;祛风湿,去瘀血。治腰痛,关节痛,虚劳黄肿,脾虚泄泻。” ⑦广州部队《常用中草药手册》:“凉血散瘀,治经闭。” ⑧《广西实用中草药新选》:“清热活血,止咳祛痰。治劳伤咳血。” ⑨《云南中草药选》:“消炎止痛。治流行性腮腺炎,疖疮痈肿。” ⑩《福建中草药》:“清热利湿,治湿热黄疸,湿热痹,疔疮痈肿。”

用法用量:内服:煎汤,6~12g(鲜品30~60g);或浸酒。外用:捣敷。

使用注意:《南宁市药物志》:“孕妇忌用。”

临床应用

配伍应用:①配蒲公英、板蓝根、垂盆草等,治疗肝炎。 ②配石见穿、八月扎等,治疗肝气郁结,瘀血凝滞的食管癌、贲门癌、胃癌等,症见胸腹疼痛、吞咽困难、面色黧黑、形体消瘦等。 ③配乳香、没药、地鳖虫等,治晚期消化道肿瘤出现癌性疼痛。 ④配露蜂房、僵蚕、紫草根等,治疗子宫颈癌、卵巢癌。

方选和验方: ①铁浆酒(《圣惠方》)治耳久聋鸣,或有汁出,皆由肾虚,致多年不瘥:故铁15kg(烧令赤,以水6000ml,渍铁3宿,澄清),菖蒲3.3kg(切,以水12000ml,煮取6000ml,去滓,澄清),柘根15kg(以水12000ml,煮取6000ml,去滓,澄清)。上药合成18000ml,用米120kg,并曲900g,酿如常法,候酒熟即开,用磁石15kg,捣罗为末,纳酒中,渍3宿。日夜恒饮之,取醉为度,候听闻人语乃止。 ②《全国名老中医验方选集》:“治肝炎,湿热壅结型:穿破石30g,岗捻根30g,蒲公英30g,板蓝根15g,垂盆草30g,六月雪30g,平地木30g,婆婆针15g。水煎服。” ③《常用中草药手册》:“治疗骨折:鹅不食草、两面针、穿破石、金樱根五加皮、驳骨草、血见愁。取上药各适量,以生鸡1只捣烂,酒炒热敷。” ④《常用中草药手册》:“治疗肺结核:阔叶十大功劳9~15g,穿破石15g,女贞子9g,百部9~15g,铁包金15g,沙参9g,生姜5片,甘草3g。水煎服,每日1剂。若压成片剂,每片0.5g,每次4~6片,每日3次。” ⑤《常用中草药手册》:“治疗蛔虫病:两面针6g,穿破石15g,十大功劳30g。水煎,每日1剂,分2次服。对胆道蛔虫尤效。” ⑥穿破石合剂(《名医名方录》)治疗慢性肾炎,尿毒症:穿破石30g,绣花针30g,忍冬藤15g,钩藤根15g,淡竹根15g。清水煎服。 ⑦破石合剂(浙江中医学院学报 1983;(3))治疗已全身扩散转移的晚期癌症患者:合剂由穿破石、三棱、马鞭草组成。中医辨证对瘀血型、肝郁证、瘀毒型、痰湿型疗效较好,而脾虚型、气血亏损型较差。未发现明显毒性反应,使用安全。 ⑧《广东中药》:“治肺痨,风湿病:穿破石、铁包金、甘草。同煎服。” ⑨新医药通讯 1972;(2):“治疗急、慢性肝炎:取穿破石1kg,五指毛桃0.5kg,葫芦条90g。加水浸过药面煮2次,药液合并浓缩至1500ml,加白糖300g及防腐剂,静置过滤。每次45ml,对急性黄疸型肝炎及较重的慢性肝炎日服2次。轻症慢性肝炎日服1次,均以30天为1疗程。”

单方应用:①《浙江民间常用草药》:“治体虚白带:柘树根30g,水煎服。” ②《浙江中药资源名录》:“治挫伤:葨芝根和糯米捣敷。” ③《千金方》:“治小儿心热,重舌,鹅口:柘根(锉)150g。以水1000ml,煮取400ml,去滓更煎,取100ml。细细敷之,数数为之。” ④《常用抗肿瘤中草药》:“治疗消化道肿瘤如食管癌、贲门癌、胃癌、肠癌等,也可用于肝癌、肺癌、胰腺癌等,对不宜使用化学治疗及放射治疗者尤为适宜:穿破石,每日30~150g,煎服。或400%糖浆,每日20~25ml,每日3次。”

参考文章