断血流

概况

异名:大叶香薷(《植物名实图考》),荫风轮(《贵州草药》),脚癣草(云南)。

基源:为唇形科风轮菜属植物灯笼草或风轮菜的干燥地上部分。

原植物:正品断血流有2种:灯笼草Clinopodium polycephalum(Vaniot)C.Y.Wu et Hsuan ex Hsu[Calamintha polycephala Vaniot; C.clinopodium Benth.var.polycephala(Vaniot)Dunn;Clinopodium chinense ssp.grandiflorum var.parviflorum(Kudo)Hara],又名山藿香(云南,贵州),蜂窝草(贵州),风轮草(四川),土荆芥(江苏)。风轮菜Clinopodium chinense(Benth.)O.Ktze.(Calamintha chinensis Benth.;Clinopodium vulgare auct.non L.),又名野凉粉藤、苦刀草、九层塔(广西),山薄荷(江西),野薄荷(广东)。

历史:断血流为安徽民间草药。植物来源之一风轮菜始载于《救荒本草》。朱捕云:“……苗高二尺余,方茎,四棱,色淡绿微白,……叶微宽边有锯齿,又两叶对生,……开淡粉红花,其叶味苦。”从描述与附图看,皆与风轮菜相符。本品作为药用载于《中国药典1990年版》一部。

形态:灯笼草为直立多年生草本,高0.5~1m,多分枝。茎四棱形,具槽,外被粗糙硬毛。叶卵形,长2~5cm,宽1.5~3.2cm,先端钝或急尖,基部宽楔形或几至圆形,边缘具稀疏的圆锯齿,两面被糙硬毛。轮伞花序多花,圆球状,沿茎及分枝形成宽而多头的圆锥花序;花萼圆筒形,花时长约6mm,宽约1mm,具13脉,脉上被具节长柔毛及腺柔毛,萼内喉部具疏刚毛,果时基部一边膨胀,上唇3齿,齿三角形,具尾尖,下唇2齿,先端芒尖。花冠紫红色,长约8mm,冠筒伸出于花萼,冠檐2唇形,上唇直伸,下唇3裂;雄蕊不露出,后对雄蕊短且花药小,在上唇穹窿下,直伸,前雄蕊长超过下唇,花药正常;花盘平顶,子房无毛。小坚果卵形,长约1mm,褐色,光滑。花期7~8月,果期9月。(图见《中药志》.第4册.第2版.652页.图633)

生境与分布:生于海拔3400m以下山坡、路边、林下、灌丛中。分布于陕西、甘肃、山西、河北、河南、山东、浙江、江苏、安徽、福建、江西、湖南、湖北、广西、贵州、四川、云南及西藏东部。

风轮菜与灯笼草的区别在于轮伞花序总梗极多分枝,多花密集,常偏向于一侧;苞片针形,极细,无明显中肋;花萼长约6mm;花冠小,长不及1cm。花期5~8月,果期8~10月。(图见《中药志》.第4册.第2版.651页.图632) 生于海拔1000m以下山坡、草丛、路边、沟边、灌丛、林下。生于中国山东、浙江、安徽,江西、福建、台湾、湖南、湖北、广东、广西及云南东北部。日本也有分布。

生药

采集:7~8月开花期采收地上部分,阴干,或切段后阴干。药材主产于安徽霍山、金寨、六合等地。

鉴别

性状:风轮菜地上部分多分枝,长70~100cm。茎方形,直径2~5mm,节间长3~8cm,表面棕红色或棕褐色,具细纵条纹,密被柔毛,四棱处尤多。叶对生,有柄,多卷缩或破碎,完整者卵圆形,长1~5cm,宽0.8~3cm,边缘具锯齿,上表面褐绿色,下表面灰绿色,均被柔毛。轮伞花序具残存的花萼,外被毛茸。小坚果倒卵形,黄棕色。全体质脆。易折断与破碎,茎断面淡黄白色,中空。气微香,味微辛。灯笼草较粗状,茎及叶下表面被众多粗糙毛茸。

显微 风轮菜叶表面观:下表皮细胞垂周壁波状弯曲,气孔直轴式。非腺毛细胞1~11个,其中常有1细胞隘缩,长30~960μm,直径10~60μm,疣状突起明显。小腺毛头与柄均单细胞,长25~40μm,直径8~17μm。腺鳞头部细胞8个,直径约50μm,柄单细胞。(图见《中药志》.第4册.第2版.654页.图635)灯笼草叶表面观特征与风轮菜相似,但非腺毛多呈节状,长64~1120μm,直径20~50μm。

理化:取样品粗粉1g,加乙醇15ml,回流提取30分钟,滤过,滤液浓缩至1ml,点于硅胶H板上,以橙皮甙、香蜂草甙为对照,以苯-乙酸乙酯-乙酸-乙醇(20∶15∶15∶15)上层液为展开剂,展距15cm,喷1%氧氯化锆甲醇液,在紫外光灯下检视,斑点黄色。(图见《中药志》.第4册.第2版.655页.图636)

贮藏:置通风干燥处。

化学性质

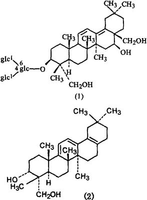
风轮菜含黄酮甙、皂甙、内酯、有机酸、酚性物质、糖类、树脂、蛋白质、无机盐、鞣质、氨基酸、香豆素[1]。从风轮菜(C.chinense)地上部分分到香蜂草甙(Didymin)、橙皮甙[2]芹菜素(Apigenin)、异樱花素(Isosakuranetin)和熊果酸[3]。从风轮菜和灯笼草(C.polycephalum)全草均分到新三萜皂甙:风轮菜皂甙A(ClinopodisideA)(1)、其化学名为-3-O-β-D-吡喃葡萄糖(1→6)-[β-D-吡喃葡萄糖(1→4)-β-D-吡喃葡萄糖]-11,13(18)-二烯-3β,16β,23,28-四羟基齐墩果烷[4,5]。灯笼草还含蒲公英赛-9,12,17-三烯-3β-23-二醇(Taraxer-9,12,17-triene-3β,23-diol)(2)[6]。

参考文献

[1] 江苏省植物研究所等.新华本草纲要.第1册.上海科学技术出版社,1988∶429。
[2] 中草药 1983;14(5)∶193。
[3] 中草药 1985;16(11)∶518。
[4] 药学学报 1992;27(3)∶207。
[5] Phytochemistry 1992;31(3)∶1049。
[6] CA 1989;110∶213111p。

药理

①止血作用 小鼠ip荫风轮乙醇提取物可显著缩短血凝时间。外用于兔、犬动脉出血或切割肝、脾的出血亦有止血作用。滴加于蛙肠系膜微小血管上见动脉显著收缩而静脉微扩张。蛙下肢灌流使血管收缩。麻碎犬iv其温浸液,血压呈短暂下降[1]。荫风轮浸膏给小鼠ig,1.2g/kg时出现止血作用,但对凝血没有促进作用[2]。本品总皂甙能明显增强ADP诱导的血小板聚集。提高血小板粘附率。可使血浆、血小板中TXB2含量显著升高,这可能是本品促进血小板聚集的主要机理[3]。本品提取物对各种离体血管标本均能提高血管收缩力,以醇提浸膏作用最强。离体兔耳灌流实验亦表明,提取物对血管的收缩作用十分明显[4]。本品的止血作用与其促进血管收缩而有助于血管闭合及血栓形成有一定关系[4]。 ②抗菌抗炎作用,荫风轮(0.6~1.2g/kg,ig)对大鼠蛋白性关节肿及甲醛性关节肿,均有明显的抑制作用。可显著抑制二甲苯引起的小鼠耳壳炎症。延长60Co r射线损伤小鼠的存活时间[2]。对组胺所致的小鼠毛细血管通透性有明显的抑制作用[2,4]。 温浸液在试管内对金黄色葡萄球菌、绿脓杆菌、及痢疾杆菌有杀菌作用[1]

毒性:给小鼠ig荫风轮浸膏,LD50为14.6g/kg[2]

参考文献

[1] 江苏新医学院.中药大辞典.下册.上海人民出版社,1977∶1613。
[2] 生物学杂志 1989;(3)∶19。
[3] 中国药理学通报 1988;4(3)∶175。
[4] 安徽中医学院学报 1985;(4)∶46。

药性

性味:辛,凉。 ①《贵州草药》:“辛、甘、苦,温。” ②《中药志》:“涩、微苦,凉。” ③《全国中草药汇编》:“辛,凉。”

功效:清热解毒,凉血止血。

主治:各种出血,黄疽型肝炎,胆囊炎,肠炎,菌痢,感冒,急性结膜炎,疮疡肿毒,蛇犬咬伤。 ①《贵州草药》:“解表散寒,理气消肿。” ②《中药志》:“清热解毒,凉血止血。妇科出血及其它出血症,肠炎,菌痢,疮肠肿毒,蛇犬咬伤。” ③《中国药典1977年版》:“崩漏,子宫肌瘤出血,鼻衄,牙龈出血,尿血,创伤出血。” ④《全国中草药汇编》:“各种出血(肺结核咯血,支气管扩张咯血,溃疡病吐血,尿血,功能性子宫出血以及外伤出血等),黄疸型肝炎,胆囊炎,感冒,急性结膜炎。外用治疮疡,蛇犬咬伤。” ⑤广州空军《常用中草药手册》:“治急性胆囊炎,肝炎,痢疾,腮腺炎,肠炎,血尿,急性结膜炎,毒蛇咬伤,无名肿毒,乳腺炎,刀伤。” ⑥《浙江民间常用草药》:“感冒,中暑,过敏性皮炎,指头炎,痢疾。”

用法用量:内服:煎汤9~15g。外用:捣敷。

临床应用

方选和验方: 《贵州草药》:“治感冒:山藿香15g,柴胡9g。水煎服。”

单方应用:①《全国中草药汇编》:“治咯血、吐血、尿血、功能性子宫出血、外伤出血:断血流30g洗净,加水煎煮2次取滤液约400ml内服,1日服完,可分2~3次服。” ②《全国中草药汇编》:“治鼻腔、宫腔出血:断血流晒干研末,过100目筛,撒于伤口出血处,或以纱布加药粉煮后填塞於鼻腔、宫腔内。” ③《全国中草药汇编》:“治中暑,痢疾,肝炎:用量9~15g,水煎服。” ④《贵州民间药物》:“治疔疮:蜂窝草捣敷,或研末调茶油敷。” ⑤《贵州民间药物》:“治火眼:蜂窝草叶放手中揉去皮,放眼角,数分钟后流出泪转好。” ⑥《贵州民间药物》:“治皮肤疮痒:蜂窝草晒干为末,调茶油外涂。” ⑦《贵州民间药物》:“治狂犬咬伤:蜂窝草嫩头7个,捣绒,泡淘米水,兑白糖服。” ⑧《贵州民间药物》:“治感冒寒热:蜂窝草15g,阎王刺6g,煎水服。” ⑨《青岛中草药手册》:“治各种炎症、急性胆囊炎、肝炎、腮腺炎、乳腺炎、毒蛇咬伤、无名肿毒等:用量9~15g,鲜用15~30g,水煎服。” ⑩《山西中草药》:“治乳痈、疮毒:鲜风轮菜30~60g,水煎服,或压汁冲酒服,渣调红糖或蜂蜜敷患处,亦可用鲜风轮菜、鲜菊花各适量,捣烂外敷。” ⑾《山西中草药》:“治跌打损伤:鲜风轮菜6~12g,绞汁调酒服,渣敷患处。” ⑿安徽省新血流研究协作组《止血药断血流鉴定全议资料选编》:“治各种出血,如手术出血、血小板减少性紫癜、月经过多、功能性子宫出血、宫外孕等。制剂及用法:粉剂:荫风轮全草洗净,晒干,研粉,取细末外敷伤处并包扎。丸剂:将细末水泛为丸,烘干,每服6~9g,日服2~3次。胶囊:全草洗净,切碎,加水过药面,煮24小时,去渣、煎汁浓缩收膏,烘干,粉碎,过200目筛,装胶囊,每丸含生药5g。每服2~3丸,日3服。注射剂:每ml含生药2.5g,肌肉注射,每次2~4ml,日2~3次。” ⒀《福建省中医中药防治白喉研究资料选编》:“治白喉:鲜荫风轮洗净,捣烂取汁,每次服5~40ml,每4小时服1次。”

食疗:《贵州民间药物》:“治小儿疳病:蜂窝草15g,晒干研末,蒸猪肝吃。”

参考文章