[拼音]:duomubiao shuili guihua
[外文]:multiobjective water conservancy planning
综合考虑经济、社会、环境等多种规划目标的水利规划。一项水利规划,特别是治理开发任务复杂的流域规划或地区水利规划,常涉及国计民生的广阔领域,其影响总是多方面的。20世纪70年代前,各项水利建设多取决于国家经济发展需要,各国的水利规划也多属于只考虑经济目标的单目标规划。
多目标规划理论,最早于1896年由意大利经济学家V.帕累托从政治经济学角度提出。他把一些本质上不可比的目标化成单一目标求优。之后,V.诺伊曼等从对策论角度提出了多目标决策问题。1951年,美国学者T.科普曼斯从生产和分配的活动分析中提出了多目标优化问题。同年,H.W.库恩与A.W.塔克尔从数学规划角度提出了向量极值问题。但所有这些都仅限于某些基本途径的探讨。具体用于水利规划的分析技术,是70年代初通过美国陆军工程兵团、垦务局和洛克菲勒基金会等资助进行的哈佛水计划才逐步发展起来。1962年美国的A.马斯教授等人所著《水资源系统设计》一书发表后引起了各国水利界的广泛重视。1973年经美国总统批准颁布的《水土资源规划原则与标准》,是第一个有关多目标规划问题的官方规定。
特点
与单目标规划相比,多目标规划有下列主要特点。
(1)多目标间的度量单位多不相同,相互难以比较。一般经济目标如国家经济发展、地区开发等,可直接按增加国家或地区的净经济收入以货币值表示;环境质量、社会福利等目标,难以采用经济效益衡量,则多就特定问题的性质选择某些具有代表性的指标以物理量、化学量或生物量表示。这一特点决定了多目标规划只能更多建立在向量分析的基础上。
(2)各目标的权益不少是相互矛盾、相互竞争的。一个目标的改善大都要以损害其他目标为代价。为此,分析本身只能揭示各目标在不同方案中所能达到的程度和其变化规律。对方案的比较与抉择,还需结合决策者的意愿和爱好加以衡量。
(3)多目标问题的优化解不是唯一的,只能在协调各目标权益的前提下求得某一最佳均衡解。
(4)更加需要采用多学科规划方法。多目标规划工作也可分成:问题识别、方案拟定、影响评价与方案论证等四个步骤(见水利规划)。但其中的每一步骤都必须有有关学科的专门人才参与,才能从不同角度、不同方面全面地研究和分析问题。
多目标决策分析
这是多目标规划在规划方法上区别于单目标规划的最主要方面。分析途径可概括为:
(1)按照目标要求,拟定其直接或间接的测度;
(2)识别决策问题的边界和基本组成,选择适宜的模型结构与求解技术;
(3)拟定决策准则,分析与评价非劣解。有关抉择技术,近十多年来已由各国学者作了大量探索,迄今还没有一个公认的成熟方法。可供参用的主要方法如下。
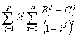
多目标效益费用分析法适合于各目标标量均可采用货币值衡量的一种抉择方法。方法本身与传统的单一经济目标的分析方法无本质区别,所不同的是考虑了不同目标的权重与折现率。对决策者认为是重要的目标赋以较大的权值,反之则权值较小;对决策者希望将来能更多考虑的目标采取较低的折现率,反之则折现率较高。综合后,规划方案总的折现净效益可表示为:
式中j为各目标序号,j=1,2,3...P;λj为第j个目标的权值;Cji和Cji分别为第j个目标在t 年的效益与费用;ij为第j个目标折现率。
系统优化分析法旨在通过严密的分析技术,揭示系统内部诸因素的相互关系,并结合决策者的意愿对规划方案进行优选。根据求解方法的功能,这类方法又可分为三种。
(1)非劣解生成技术:特点是首先将向量转化为标量,而后应用现行的标量优化方法,生成多目标问题的非劣解集;最后,再由决策者从中选出最佳均衡解。其中最常见的有权重法与约束法,均可应用解析和数值算法生成非劣解集。此外,属于这种方法的还有以权重法为基础,以单纯形法为求解手段的多目标线性规划法,和借助动态规划原理求解的多目标动态规划法等。
(2)结合决策者意愿的决策技术:即不采取分析人员单独生成全部非劣解,而以决策者的意愿为基础一次求得所需的最佳均衡解。这类方法又可分为:以价值函数或效用函数表达决策者意愿的方法,如期望效用法;以目的或理想值等表达的方法,如目的规划法;以各目标函数值之间的权衡关系表达的方法,如替代价值权衡法等。
(3)结合决策者意愿的改进生成决策技术:即介于上述两种方法之间,以决策者已经部分明确的意愿为基础生成非劣解,再通过分析人员与决策者间的对话,按照决策者的改进意见重新计算,直至求得满意解止。一些学者提出的步骤法、序列多目标问题解法等都属这一种。
现代技术与传统分析相结合的方法与上述系统优化方法一样,也利用现代技术求得可行的决策范围,并由分析人员以一定方法表达出全部成果,但最终决策仍按传统分析方法,由决策者就技术、经济、社会、环境等方面综合衡量,而不强求事先确定一些主观的参数。其中,有代表性的方法主要是:
(1)图解比较法,即通过图解将全部成果反映成各目标间的效果转换曲线或效果转换面,供决策权衡。
(2)影响矩阵法,即利用记录卡形成显示各方案在设计条件下和在某些因素发生变化时的分项影响。对各项影响都按优、中、差分类,并采用不同颜色表示。
(3)准则对照法,与影响矩阵法相似,但不是直接对方案影响进行比较,而是就规定的决策准则逐一进行评价。
- 参考书目
- D.C.Major, Multiobjective water Resources Planning, American Gcophysical Union,Washington,D.C.,1977.