无线电导航系统

利用无线电技术对飞机、船舶或其他运动载体进行导航和定位的系统。无线电导航技术的基本要素是测角和测距,因此可以组成测角-测角、测距-测距、 测角-测距、测距差(双曲线)等多种形式的系统。无线电信号Esin(ωt+)中振幅E、角频率ω、相位和时间t,都可作为导航参量使用。赋予无线电波以导航信息的方法很多,但都是利用无线电波传播的直线性及其恒定的传播速度两种特性。无线电导航的基准点可以设在地面、空间或卫星上。

测角系统

通过测定无线波来向以确定运动载体与一条基准线(常用磁北基准线)的夹角的系统。无线电测角系统一般都使用定向天线。根据使用场合不同,地面可用测向天线对飞机或船舶发射的信号测向,更多的情况是飞机和船舶利用测向天线对地面信号测向。简单的地面信标发射无方向信号,专用的地面信标本身发射含有方向信息的信号。

测角系统主要是测量振幅或相位参量。振幅测角系统可使用最大值测角法、最小值测角法和等强信号测角法三种方法。

(1)最大值测角法:天线辐射单波瓣方向性图。转动方向性图使接收设备输出的信号具有幅度变化,以最大输出信号强度作为角度位置。机场监视雷达对目标方位的测定就采用这种方法。此法的信噪比较高,并可兼用于通信信息的传输,但测角灵敏度较低,即对最大值的判别不敏锐。

(2)最小值测角法:旋转用户接收设备的环状天线至收到信号为最微弱处,或发射端辐射两个彼此相切的波瓣,转动波瓣使接收设备输出最小。无线电罗盘使用前一种方法,灵敏度高,信噪比低。

(3)等强信号测角法:天线辐射两个互相交叠的波瓣,转动方向性图;或方向性图固定不动,由载体运动使接收机输出的两波瓣信号强度相等来确定目标的角位置。此法兼有前两种方法的优点。

相位测角系统利用测量信号的相位获得载体的角位置。这类设备的方向性图的旋转速度比振幅系统快得多,一般可达每秒几十转。旋转频率成为载频的振幅调制频率,调制信号的相位决定于运动载体所在的空间方位。借助某一同频率的相干振荡进行比相,从相位读数取得载体所在的空间位置。伏尔导航系统(甚高频全向信标系统)即属于这类相位测角系统。

采用干涉仪原理也可进行相位测角。这种系统采用两个相距D的地面天线阵元组成。用户询问信号的平面波前到达天线阵元时,由于入射角θ不同,到达两个阵元的时间也不同(存在行程差xDsinθ)。此行程差在两阵元接收到的射频信号中产生的相位差为

公式 符号

式中λ为工作波长;θ为入射波与天线阵元连线的法线之间夹角。测出相位差 墹即可确定用户相对天线基线法线的角位置θ,并由地面发回机上。

测距系统

利用测量用户至地面台间距离实现导航定位的系统。测距系统有转发、反射和测伪距三种方式。

转发方式

由用户发射询问信号,地面台收到询问信号后发出应答信号。用户计算询问信号与应答信号之间电磁波传播时间的时延,即得公式 符号。式中rAB为用户至地面台之间的距离;c为电磁波传播速度。转发方式有脉冲方式与连续波相位方式两种工作方式。采用脉冲方式时,询问信号和应答信号均以脉冲形式出现,测量的是脉冲之间的时间间隔。地美依导航系统就是这种测距系统。在连续波相位测距系统中,用户和地面台须发射相干连续波振荡信号。地面台对用户信号进行频率变换(倍频和分频)后向用户转发;用户再将其转换为原发射频率,与原信号比相:公式 符号。式中AB为相位差;rAB为传播距离;λ为波长。在脉冲测距系统中,不同询问器的询问脉冲多次同时出现的可能性很小,所以一个地面应答器可应答多个询问。相位测距系统采用连续波工作方式,工作容量远比脉冲系统为小。

反射方式

利用反射面(通常为地面)反射回来的信号和原发信号进行时延比较,确定用户至反射面间的距离。常用的反射式测距系统有脉冲式和频率式两种。反射式测距可省去地面台,脉冲式无线电高度表和各种领航雷达都属于这一类。频率测距系统是用户辐射调频信号的系统。经反射面反射而返回接收设备的反射信号,其频率与辐射频率相差一个与其间距离成比例的数值f,即

公式 符号

式中墹f为最大频偏;fm为调制频率;c为电波传播速度。调频雷达与机载调频无线电高度表即属于这类系统。反射式测距系统的作用距离比转发式测距系统为小。

测伪距方式

用户与导航台站都配备精密时钟,并按严格确定的时间辐射信号。用户收到信号后,根据自己的时钟确定传播时延τ,从而得到伪距ρcτ。伪距ρ中含有用户与导航台站间的真实距离r,以及与两精密时钟之间的时差墹τ相应的距离误差cτ,即

公式 符号

式中x0y0z0为导航台站的位置坐标;c为电波传播速度;xyz为待求的用户位置坐标。利用4个或 4个以上时钟相互同步的台站,测出4个或4个以上的伪距,建立与上述方程相同的4个或4个以上方程。解方程即得用户的位置坐标。

测距设备的位置面是以导航台站为圆心的圆球面。在预知高度的条件下,可将等高度面与位置圆球面交割出的圆周作为测距位置线。这样,利用一个导航台可引导飞机沿航空港作等待飞行。利用两个导航台,用两个圆周位置线的交点可确定用户空间位置,但有双值性。用三个导航台可以消除双值性。

测距差系统

测量用户到两个地面台距离之差的导航系统,即双曲线系统。测一条双曲线位置线需要使用两个地面台。定位用两条位置线的交叉点,需要用三个以上地面台完成。多个地面台可组成台链。测距差系统分脉冲式和相位式两类。

脉冲式系统

两个地面台分别辐射在时间上严格同步的脉冲信号,用户接收并测出其到达的时间差τA-τB,时间差乘c(电磁波传播速度)得距离差rA-rB。等距离差轨迹线是双曲线。用同一方式测出用户到另两个地面台的距离差rC-rD,得另一条相应的双曲线,两者的相交点就是用户的位置坐标。脉冲式测距系统有独立基线和同步基线两种。两台之间的联线为基线。独立基线系统各使用不同的载频和脉冲重复频率。用户选取两条独立基线定位一般约需要1分钟时间。罗兰A导航系统为独立基线脉冲测距差系统。同步基线系统是两条基线的地面台工作于相同载频和相同脉冲重复频率上的系统,其中一台为共用主台。这种系统定位的时间较快,奇(GEE)导航系统就是同步基线脉冲测距差系统。

相位式系统

台链使用连续波,台卡导航系统主、副台在共有基频上分别发射不同倍频信号,用户收到信号后变换成相同频率,再经过比相得到相位差墹A-B公式 符号。式中λ为比相波长;rA-rB为距离差。奥米加导航系统是 8个台在同频上以时分方式发射的全球定位系统。相位测距差系统存在多值性,公式 符号为一个巷道,通常采用变频或增发载频方法(差拍)展宽巷道消除多值性,实际上巷道多值性是不能完全消除的。双曲线的渐近线是直线,当基线甚短、用户离基线甚远时,测距差系统也可作为测角系统使用,例如罗拉克导航系统(LORAC)就是按这种方式工作的。

测速系统

测量用户航速、经过积分运算取得位置坐标的导航系统。这种系统以多普勒效应为基础,按雷达方式工作,用于飞行器上。船用多普勒系统只能工作于声频,不属于无线电系统。

运动载体辐射的电磁波频率与经过地面反射回到载体的频率不同,由于地形不平,反射回来的是类高斯频谱,其中心频率与辐射频率之差即多普勒频率fd

公式 符号

式中θ为波束与用户速度矢量之间的夹角。在θ已知的情况下,测出fd就可求得用户运动速度ω 。利用多普勒设备求取地理位置坐标,还需要有航向基准、当地垂线信息,以及计算装置和初始地理位置数据等。多普勒系统属于航位推算系统,所提供的位置信息有积累误差。

多参量系统

利用电磁辐射中几个参量和几何参量的关系进行导航定位的系统。罗兰 C系统属于这类系统,其优点是既利用脉冲测距差方式取得粗测数据,消除多值性,又利用连续波测相位差取得精测数据。罗兰 D导航系统和脉冲-8是其派生系统。塔康导航系统是另一种多参量导航系统,它把测向与测距两种导航功能组合起来。它本身是询问应答式测距系统,又在辐射的脉冲信号上进行调幅,产生调制包络,用包络相位测定用户相对于地面台的方位。塔康导航系统用直线位置线与圆位置线求交点进行定位,是一种ρ-θ导航系统。

卫星导航系统

天文导航只能利用光频测角,人造卫星由于可以装备有无线电发信机和接收机,也能测距和测距离变化率。卫星导航有三种方式。

(1)测角方式:用户跟踪卫星辐射信号,借助于转动方向性图测定卫星相对于当地地平面的仰角,从而得到用户处于其上的一个等高圆圆周。对两颗或更多颗卫星进行同样观察,或者对一颗卫星在不同时间进行观察,可得到两个或更多个彼此相交的等高圆。等高圆公共交点的坐标就是用户位置坐标。

卫星至用户的距离通常很远,利用此法定位达到足够的准确度要求测角误差很小。例如,要保证定位误差不超过3~4海里时,测角误差应小于0.001弧度。

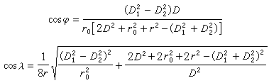
(2)测距和测距差方式:在用户视界内存在两颗卫星的情况下,根据用户与卫星的相对几何位置可写出关系式

公式 符号

式中2r0为两颗卫星之间的距离(基线);r为用户到地心的距离;D为卫星基线中点到地心的距离。在既定卫星导航系统中,上述各参量均为已知固定值。D1D2分别为两颗卫星与用户之间的距离。λ为用户当前的地理经度和纬度。因此,用无线电方法测出D1D2(测距),D1D2(测距差)和D1D2(测距和)中的任意二者,就可用上述公式解算出用户的当前地理位置坐标。

用转发方式测距,用户需要用两套收发信机分别对卫星1和卫星2辐射询问信号和接收回答信号。测距系统位置线为圆,两圆交点决定用户平面位置坐标。测量距离D1D2和距离差D1D2时,用户只需要一套收、发信机。对一颗卫星辐射信号和接收回答信号,即可得到距离。同时接收两颗卫星辐射信号,可得到距离差。由圆位置线和双曲线位置线的交点确定用户地理位置坐标。

测量距离D1D2及距离和D1+D2时,用户也只需要一套收、发信机。对一颗卫星发送询问信号和接收回答信号便可以测距。由卫星1转发询问信号给卫星2,用户从卫星2接收回答信号,可测出由用户-卫星1-卫星 2三角形的三边距离之和,减去两卫星间固定的距离值 2r0,可得到距离和D1+D2。其位置线分别为圆和椭圆,用户位于圆和椭圆的交点处。

(3)测伪距方式:用户只需要一套接收计算设备,依次或同时接收4颗卫星的信号,测出4个信号的到达时间,再利用经典法联解或卡尔曼迭代算法求出用户的经度、纬度、高度和时钟偏差等变量,借以实现导航定位功能。

(4)测距离变化率方式:卫星在运行过程中与用户之间存在相对运动,在接收信号中存在多普勒频移。多普勒频移fd在既定时段(t2-t1)内积分,和卫星在该时段的开始和终了时的位置到用户的距离差D2D1之间,存在一定的关系,即

公式 符号

式中fgft分别为用户接收机基准频率和卫星辐射频率;c为电磁波传播速度。测出既定时段内多普勒频移计数N,就可知道用户与卫星在此时段的起始和终了时与用户位置的距离差D2-D1。在确知卫星位置的情况下,适当假定用户位置,可用迭代法求出用户当前地理位置数据。

“子午仪”卫星导航系统测量的是距离变化率,但因不能连续定位而不适用于航空。测伪距的卫星导航系统受到人们重视,定位准确度极高。

参考书目
  1. Myron Kayton,Walter Fried,Avionics Navigations Systems,John Wiley & Sons,New York,1969.