微孔曝气器是活性污泥水处理曝气系统中的核心设备,通过曝气器增加污水中氧的含量,用于微生物的生长和生化反应,改善水体环境。有统计资料表明[1-3],曝气系统电能的消耗占污水处理系统全部电能消耗的60%以上,曝气系统的电耗费用占整个污水处理系统运行成本的40%左右[4,5]。传统的曝气系统因氧利用率低导致能耗大的缺点一直受到国内外专家密切关注,并对此进行了相关的研究,然而这些问题并未得到实质性的改善[6-8],因此,改进曝气设备使其提高效率、降低能耗成为环保产业的重要研究课题。
本研究采用脉冲式微孔曝气充氧方式来提高曝气器效率。实验采用4种相同直径、不同类型膜片的曝气盘在曝气池中进行清水性能实验,测得其在实验条件下的充氧性能,实验对比分析了脉冲式曝气和连续曝气方式的充氧效果,初步得出脉冲式曝气具有更好的充氧效果,为污水处理中的曝气系统提供新的研究方向。
1 实验部分
1.1 实验装置
脉冲式微孔曝气器实验装置示意图如图1所示,主体是一个0.8m×0.6m×1m的矩形曝气池,为了便于观察实验现象,曝气池用透明的有机玻璃制成。
1.2 实验设备和仪器
实验设备和仪器包括型号为ZBM-0.1/8空气压缩机、型号AR2000-02调压阀、型号FX2N-64MT的PLC、型号LZB-10转子流量计和型号JPB-607A溶解氧测量仪。
4种盘型微孔曝气盘的直径都为270mm,分别是平EPDM膜片材料的微孔曝气器、凸EPDM膜片材料的微孔曝气器、蘑菇头状微孔曝气器和硅橡胶膜片材料的微孔曝气器,如图2所示。
1.3 气泡形成受力分析
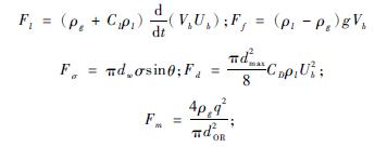
由于曝气产生的气泡众多,以单个气泡为例,分析其在传统的连续曝气和脉冲式曝气情况下的受力情况,如图3所示。气泡在连续曝气情况下生成过程中受到上升浮力Ff、约束力Fσ、流体对气泡的粘性力Fd、惯性力Fl、通过小孔的气体冲量的力Fm 等力的作用,气泡受力分析如图3(a)所示。采用脉冲曝气方式时,膜片在收缩过程中还受到阻力Fz的作用。由于周期性的气压,膜片做间歇性的鼓起、收缩,膜片在收缩的某一瞬间过程中气泡的受力情况如图3(b)所示。
气泡在连续曝气情况下的受到的力平衡公式如下式(1)所示:
具体公式表达式如下所示:
式中:ρg 为气相密度,kg/m3;Cl为虚拟质量系数,11/16;ρl为液相密度,kg/m3;Vb为气泡体积,m3;Ub为气泡质心垂直速度,m/s;dmax 为气泡直径,mm;CD 为阻力系数;θ为气泡接触角;σ为表面张力,N/m;dw 为气泡的接触直径,m;dOR为孔口直径,m;q为孔口气体流量,m3/s。
由式(1)整理可得,在膜片鼓起时气泡直径dmax1:
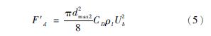
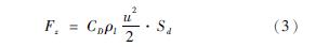
气泡在脉冲式曝气情况下,周期性的气压使膜片收缩、鼓起,在膜片收缩的过程中,气泡又受到阻力Fz的作用,如式(3)所示:
式中:Sd为球形气泡在垂直方向上的投影面积,m2;u为气泡向下振动时脱离孔口的瞬时速度。
由力的平衡条件得:
式中:
由式(4)整理可得,在膜片收缩时气泡直径dmax2:
式中:dmax1为连续曝气中膜片鼓起时气泡直径,m;dmax2为膜片收缩时气泡在某一时刻直径,m。。
比较式(2)和式(6)可得,膜片在某一收缩的过程中,都有dmax2 <dmax1,即膜片在收缩过程中,气泡直径变小;在膜片鼓起过程中,由于膜片孔没有完全扩张,产生气泡的大小较膜片完全鼓起时产生的气泡小。同时,对气泡运动特性的数值模拟研究发现,气泡初始直径越小,上升的速度越慢[9],即气泡越小,则气泡停留在水中时间更长,与水体充分接触,更多的氧能扩散进入水体中。
详情请下载:微孔曝气器脉冲式充氧效果














