生物接触氧化(biological contact oxidation process)是从生物膜法派生出来的一种废水生物处理法,即在生物接触氧化池内装填一定数量的填料,利用栖附在填料上的生物膜和充分供应的氧气,通过生物氧化作用,将废水中的有机物氧化分解,达到净化目的。生物接触氧化处理工艺,是微生物反应,BOD去除速度与BOD浓度有关,两者之间呈一次反应关系,故接触氧化时间:
t——接触反应时间
S0——原污水BOD值,mg/L
Se——处理水BOD值,mg/L
K——比例常数
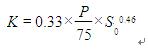
K值,经许多专家对生物接触氧化研究结果,还要考虑这样一个因素,即接触氧化池内填料的标准填充率为池容积的75%,而实际充填率为P%,提出下列经验公式求定:
从上式可以看出,接触反应时间与原污水水质呈正比关系,与出水水质呈反比关系,即对处理水质要求越高(Se值越低),所需接触反应时间也越长。。














