1、方法原理
用蒸馏法使挥发性酚类化合物蒸馏出,并与干扰物质和固定剂分离。由于酚类化合物的挥发速度是随馏出液体积而变化,因此,馏出液体积必须与试样体积相等。被蒸馏出的酚类化合物,于pH(10.0±0.2)介质中,在铁氰化钾存在下,与4-氨基安替比林反应生成橙红色的安替比林染料,用三氯甲烷萃取后,在460nm波长下测定吸光度。
2、干扰及消除
氧化剂、油类、硫化物、有机或无机还原性物质和苯胺类干扰酚的测定。
2.1氧化剂(如游离氯)的消除
样品滴于淀粉-碘化钾试纸(6.23)上出现蓝色,说明存在氧化剂,可加入过量的硫酸亚铁去除。
2.2硫化物的消除
当样品中有黑色沉淀时,可取一滴样品放在乙酸铅试纸上,若试纸变黑色,说明有硫化物存在。此时样品继续加磷酸酸化,置通风橱内进行搅拌曝气,直至生成的硫化氢完全逸出。
甲醛、亚硫酸盐等有机或无机还原性物质的消除可分取适量样品于分液漏斗中,加硫酸溶液使呈酸性,分次加入50、30、30ml乙醚以萃取酚,合并乙醚层于另一分液漏斗,分次加入4、3、3ml氢氧化钠溶液进行反萃取,使酚类转入氢氧化钠溶液中。合并碱萃取液,移入烧杯中,置水浴上加温,以除去残余乙醚,然后用水将碱萃取液稀释到原分取样品的体积。同时应以水做空白试验。
2.3油类的消除
样品静置分离出浮油后,按照操作步骤进行。
2.4苯胺类的消除
苯胺类可与4-氨基安替比林发生显色反应而干扰酚的测定,一般在酸性(pH<0.5)条件下,可以通过预蒸馏分离。
3、样品采集
样品采集按照HJ/T91的相关规定执行。
在样品采集现场,用淀粉-碘化钾试纸检测样品中有无游离氯等氧化剂的存在。若试纸变蓝,应及时加入过量硫酸亚铁去除。样品采集量应大于500ml,贮于硬质玻璃瓶中。采集后的样品应及时加磷酸酸化至pH约4.0,并加适量硫酸铜(6.4),使样品中硫酸铜质量浓度约为1g/L,以抑制微生物对酚类的生物氧化作用。
4、样品保存
采集后的样品应在4℃下冷藏,24h内进行测定。
5、分析步骤
5.1预蒸馏
取250ml样品移入500ml全玻璃蒸馏器中,加25ml水(6.1),加数粒玻璃珠以防暴沸,再加数滴甲基橙指示液(6.22),若试样未显橙红色,则需继续补加磷酸溶液(6.10)。
连接冷凝器,加热蒸馏,收集馏出液250ml至容量瓶中。蒸馏过程中,若发现甲基橙红色褪去,应在蒸馏结束后,放冷,再加1滴甲基橙指示液。若发现蒸馏后残液不呈酸性,则应重新取样,增加磷酸溶液加入量,进行蒸馏。
注:
1:使用的蒸馏设备不宜与测定工业废水或生活污水的蒸馏设备混用。每次试验前后,应清洗整个蒸馏设备。
2:不得用橡胶塞、橡胶管连接蒸馏瓶及冷凝器,以防止对测定产生干扰。
5.2显色
将馏出液250ml移入分液漏斗中,加2.0ml缓冲溶液(6.13),混匀,pH值为10.0±0.2,加1.5ml4-氨基安替比林溶液(6.14),混匀,再加1.5ml铁氰化钾溶液(6.15),充分混匀后,密塞,放置10min。
5.3萃取
在上述显色分液漏斗中准确加入10.0ml三氯甲烷,密塞,剧烈振摇2min,倒置放气,静置分层。用干脱脂棉或滤纸拭干分液漏斗颈管内壁,于颈管内塞一小团干脱脂棉或滤纸,将三氯甲烷层通过干脱脂棉团或滤纸,弃去最初滤出的数滴萃取液后,将余下三氯甲烷直接放入光程为30mm的比色皿中。
5.4吸光度测定
于460nm波长,以三氯甲烷为参比,测定三氯甲烷层的吸光度值。
5.5空白试验
用水代替试样,按照5.1~5.4步骤测定其吸光度值。空白应与试样同时测定。
5.6校准
5.6.1校准系列的制备
于一组8个分液漏斗中,分别加入100ml水(6.1),依次加入0.00、0.25、0.50、1.00、3.00、5.00、7.00和10.00ml酚标准使用液(6.21),再分别加水(6.1)至250ml。
按照5.2~5.4步骤进行测定。
5.6.2校准曲线的绘制
由校准系列测得的吸光度值减去零浓度管的吸光度值,绘制吸光度值对酚含量(μg)的曲线,校准曲线回归方程相关系数应达到0.999以上。。
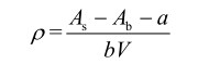
6、结果计算
试样中挥发酚的质量浓度(以苯酚计),按式(1)计算:
(1)式中:ρ——试样中挥发酚的质量浓度,mg/L;
As——试样的吸光度值;
Ab——空白试验(5.5)的吸光度值;
a——校准曲线(5.6.2)的截距值;
b——校准曲线(5.6.2)的斜率;
V——试样的体积,ml。
当计算结果小于0.1mg/L时,保留到小数点后四位;大于等于0.1mg/L时,保留三位有效数字。














