二氧化氯(ClO2)是国内外公认的高效、广谱、快速、安全无毒的杀菌消毒剂,在饮水消毒工业给水处理、二次给水消毒、医院废水处理等方面得到广泛应用。但是ClO2的储存和运输很不方便,有效可行的办法是现场发生。目前,中国ClO2发生装置生产的ClO2成本高、ClO2含量少,因此开发经济实用的ClO2生产工艺和装置是推广应用ClO2的关键环节。1电解法制备二氧化氯的反应原理由于阴极的催化作用,电流的作用微小,ClO-3→ClO2的还原速率是非电化学控制的,电催化仅加速了还原反应,电解法制备二氧化氯是基于一个自动催化循环的过程。
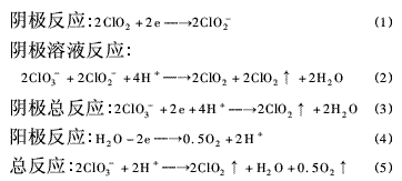
笔者在前人研究的基础上,直接由氯酸盐电解制备高纯二氧化氯,反应原理如下:

氯酸根和电解产生的瞬态中间体亚氯酸根发生化学反应生成ClO2,部分ClO2电解还原为亚氯酸根,其余部分作为产品从溶液中移走。
2.电解法制备二氧化氯的工艺流程
电解法制备二氧化氯工艺流程见图1。此工艺流程可以分为两个大的系统,即制备二氧化氯系统以及分离H2SO4和Na2SO4系统。

制备二氧化氯系统:阳极电解液在阳极液槽中达到预定浓度后通入电解槽的阳极箱,达到一定液位后关闭阀门3。往盐箱中放入固体氯酸钠,通入纯水调节氯酸钠溶液浓度达到预定浓度。把盐箱中的溶液泵入阴极箱,达到一定液位后自动循环。调整整流柜的输出电流,最大输出电流不能超过100A。调节阀门11、12的开度,达到预期冷却效果,同时冷却水通过水射器产生负压,使得二氧化氯产品被吸入并溶解在冷却水中,一同进入污水池。
分离H2SO4和Na2SO4系统:从阳极室排出的含有H2SO4和Na2SO4的溶液进入接触塔,打开阀门9,向接触塔中通入SO2气体,使H2SO4含量升高。从接触室排出的混合溶液进入分离室,分离室采用聚苯乙烯阴离子膜,只让阴离子SO2-4通过,不让阳离子Na+通过,H+虽然是阳离子,但有较高的迁移率所以也能通过。渗过的H+和SO2-4结合生成H2SO4,与Na2SO4分离。分离出来的H2SO4溶液进入浓缩装置,通过Ⅰ口通入的加热蒸汽蒸发水分得到浓度较高的H2SO4溶液,浓缩硫酸进入浓硫酸槽。电解槽采用箱式平行板电解槽,阳极电极为钌—钛二元涂层钛网,阴极电极为石墨板。在表1所示参数的控制下,制得二氧化氯纯度可达98%。

3.二氧化氯杀菌除藻实验
3.1实验材料与方法
2010年7月2、5、8日,在北京市元大都公园湖水不同位置的某一深度进行采样,对二氧化氯杀菌除藻进行试验研究。实验用水检测结果见表2(2、5、8日采样记为1、2、3号样)。野外采集及室内分析方法参照文献。根据《地表水环境质量标准基本项目标准限值》(GB3838—2002)可判断实验用水属于劣V类湖水。

3.2结果与讨论
3.2.1二氧化氯用量对各项去除率的影响
分别取1、2、3号样,投加不同量的二氧化氯,摇匀,在室温(21℃)避光杀菌20min,放置1h后对处理后水样进行检测,计算各项平均去除率,结果见图2。由图2看出:ClO2用量为2mg/L以上时,水样藻类总量、叶绿素a和细菌总量平均去除率均达到90%以上。根据待处理污水水质情况,二氧化氯用量可在2~10mg/L。通过镜检发现,许多绿藻变成白色小球,这可能是由于药剂对叶绿素的破环导致藻类的死亡,同时还发现有破碎的细胞。实验是在静态条件下以高藻水为原水得出的试验结果,如对微污染水源进行除藻时还需要考虑优势藻的种类差异、水力条件差异、消毒剂的投加方式等。

3.2.2处理液pH对各项去除率的影响
将1号样配制成不同pH,二氧化氯用量为2mg/L,对处理后水样进行检测,结果见表3。由表3可以看出,各项去除率受pH影响较小,且在碱性条件下仍有不错的去除效果。

3.3二氧化氯消毒实验剩余量分析
消毒剂的加入量与剩余量的实验结果见表4,其中余氯测定选用DPD法。美国二氧化氯水厂出厂水中要求二氧化氯剩余量在0.3~0.5mg/L。由表4看出,二氧化氯用量在1.0~2.0mg/L时处理后水中二氧化氯剩余量可以达到要求,同时应控制亚氯酸根的浓度不宜过高。

4.消毒成本核算
电解槽操作电流为80A,操作电压为4.16V,所以每小时消耗电量为0.3328kW.h。初步估算生产1kg100%二氧化氯消耗定额见表5。由表5看出,生产1kg二氧化氯成本是4.512元,加上人工和折旧费1.2元,二氧化氯生产成本可以控制在6元/kg以内。根据二氧化氯生产成本和用量可以算出二氧化氯的消毒成本。二氧化氯用量在0.5~2mg/L时,水的消毒成本为0.003~0.012元/t。

5.结论
采用电解氯酸盐自动催化循环制备高纯二氧化氯,在最佳条件下制得二氧化氯纯度可达98%。将二氧化氯用于水的杀菌除藻试验,结果表明:二氧化氯用量为2mg/L时,水中藻类、叶绿素a、细菌去除率均可达到90%以上;当二氧化氯用量为2mg/L时,原水pH调节至6~9,藻类、叶绿素a、细菌去除率不发生显著变化,并且二氧化氯剩余量均可控制在0.5mg/L以下。根据二氧化氯生产成本和投量核算二氧化氯消毒成本每吨水为0.003~0.012元。














