等离子体动力论

等离子体非平衡态的统计理论。等离子体是自然界存在十分广泛的一种物质状态。它很容易受外界干扰,经常处于非热动平衡状态。对它的现象、规律的研究比较严格的是等离子体动力论

等离子体参量

等离子体是由自由电子、各种自由离子组成的,它们之间的相互作用是库仑力。库仑力是一种长程力,许多带电粒子之间可以同时产生长程的相互作用,因此在等离子体中,除了粒子之间库仑碰撞以外,还要用平均自洽电磁场描述这种长程相互作用。它表现为电磁场和粒子的集体波动。它的特征时间是等离子体频率ωp,粒子之间碰撞的特征时间是库仑碰撞频率v。二者之比 λD是等离子体的德拜长度,n是粒子数密度)。g叫等离子体参量,它的倒数表示德拜球中的粒子数。g 是一个决定等离子体性质的重要参量。g1表示由平均自洽场形成的波动在等离子体运动变化过程中占重要地位。自然界中很多的等离子体都属于这一种情况。

动力论方程组

等离子体是电子和离子处在自由状态下的多粒子体系,完整的描述是多粒子分布函数 D(r1rn;p1,…,pN;t)在6N 维相空间中随时间的变化。BBGKY〔H.H.博戈留博夫(1946)、M.玻恩和 H.S.格林(1949)、J.G.柯克伍德(1946)、J.伊翁(1935)〕证明了在g1情况下,对D所满足的方程按g的方次作展开,在g0近似下,它简化为(单)粒子分布函数f(rpt)的方程,f·d3r·d3p表示在相空间小体积元中粒子数:

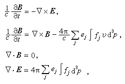
这个方程称为符拉索夫方程,其中EB是平均自洽电磁场,满足麦克斯韦方程组:

这套方程组叫符拉索夫-麦克斯韦方程组。

g1近似下,在符拉索夫方程右端,要增加一项由粒子之间碰撞产生的粒子在动量空间中的慢化和扩散项(下标c表示碰撞),它具有常见的福克-普朗克方程的形式(见统计物理学),增加了这一项的方程,在等离子体动力论中因慢化和扩散系数具体形式的差别,或叫巴莱斯库-勒纳方程,或叫朗道方程。这就是等离子体动力论方程组。动力论方程的每一项的物理意义都很清楚。在六维相空间中每一点的粒子密度的变化是由三种因素产生的:

(1)普通空间粒子流vf的散度,②动量空间流Af(A是带电粒子在洛伦兹力作用下的加速度)的散度,③库仑碰撞产生的粒子在动量空间的慢化和扩散。到目前为止的实践表明,这套方程组可以作为等离子体动力论的比较好的描述框架。

碰撞项的性质比较简单。它和描述稀薄气体动力学的玻耳兹曼碰撞项具有类似性质,满足玻耳兹曼H 定理(见统计物理学),这就保证了在它的作用下,粒子速度分布单调地趋向于热动平衡态的麦克斯韦分布。利用电子计算机对这一项作数值模拟计算,研究粒子速度分布趋向热动平衡的弛豫过程,原则上也没有多大困难。

等离子体动力论的复杂性主要表现在符拉索夫方程上。这是一个非线性演化方程。非线性表面在

这一项上。f是六维相空间上的分布函数,它的变化行为在动量空间和普通空间迥然不同。正是符拉索夫方程的非线性,一方面体现等离子体物理现象十分丰富,另一方面研究起来(无论是理论分析还是数值模拟计算)又十分困难。

电磁流体方程组

六维相空间分布函数f(rpt)所满足的符拉索夫方程是一个难于处理的方程,在实际应用中常常需要简化。其中一种常用的办法是对 f取动量矩,得到电磁双流体(电子、离子)方程组,把它作为研究等离子体动力论的一种近似。对符拉索夫方程取动量的零次矩得密度守恒方程,一次矩得动量守恒方程,二次矩得能量守恒方程。因为这里还包括f的高次矩,所以这三个矩方程是不封闭的。在一般气体动力论中,是用恩斯库格-查普曼方法处理高次矩的。在那里粒子之间的碰撞起主要作用(碰撞自由程很短),f近似局部热动平衡分布。可以把f在局部热动平衡基础上,对磁撞自由程作展开,得到f的近似解。由f的近似解计算三次矩,就得到流体力学方程的各种输运项(粘滞性、热传导等),使流体力学方程组成为完备的封闭方程组。这条途径初看起来在等离子体中似乎是不能用的,因为这里粒子之间的碰撞往往不占主导地位。但是实际上,当等离子体作集体运动时,主要物理量仍然是电子、离子密度、流速,所以电磁双流体方程组仍不失为一个比较容易处理的研究出发点。

有一点应当注意,在取动量矩时,已忽略等离子体中电子、离子的细致粒子分布,所以电磁双流体方程组不能反映在等离子体中很重要的波与粒子之间的相互作用,也不能反映在磁场中有限拉莫尔半径所产生的效应。流体力学方程组仍然是一套非线性方程组。对于流体力学方程所描述的层流流动,已经发展了多种计算方法,这里也可借用。对于湍流流动,问题复杂多了。等离子体中的运动形态比一般流体要丰富得多,并且它非常容易在外界环境作用下发展为湍流状态。所以利用流体方程组研究等离子体动力论虽然比符拉索夫方程简单多了。但仍是一个复杂的课题。

等离子体中线性波

在周围环境条件作用下,等离子体中发生复杂的运动过程,诸如能量的吸收和发射,各种运动形态之间的转化,各种输运过程(粒子扩散、电流传导、能量传输、……)等。在这些过程中,如果粒子之间的碰撞起主要作用,通常叫正常过程(例如正常扩散、正常电导、……),如果其有集体运动性质的波动起主导作用,就叫作反常过程。这个名词习惯上的沿用,实际上在等离子体中,常常遇到的是反常输运。

自从50年代末期以来,对于基本上处于比较均匀、平稳的状态,只有微弱扰动的等离子体,从符拉索夫方程或电磁流体力学方程出发,作了系统的研究。这是一些可以把非线性项作为微扰处理的简单情况。

在这种情况下,作为零级近似,先不考虑非线性项,方程退化为线性方程组。线性方程组具有一系列特征振荡,这就是等离子体中的波。等离子体由许多物理量描述(电子、离子密度、速度、电场、磁场),在振荡过程中,按照这些物理量相对运动状态的不同,可以把等离子体中的波分为多种不同类型的分支。在没有外加磁场的等离子体中,最常见的波有三种:

(1)离子不动,电子作纵向振荡的等离子体波;

(2)离子不动,电磁场和电子作横向振荡的电磁波;

(3)离子和电子一起振荡的离子声波。在有外加磁场的等离子体中,波的类型更多达数十种。等离子体中波的类型的丰富是所有物理学分支中少见的。

要形成振荡,一个必不可少的条件是对于偏离平衡分布的微小扰动要有恢复力。常见的是一般气体中的声波,恢复力是压力。对于一般气体,粒子之间碰撞频率比声波振荡频率大得多,在声波振荡过程中,碰撞使媒质处于局部热动平衡状态。高密度点压力大,压力排开高密度,形成振荡。对于等离子体振荡,粒子分布不处于局部热动平衡状态,恢复力一般不是压力,而是平均自洽场产生的电磁力。电子在作等离子体振荡时,在电子密度加大的地点,由于静电斥力,电子彼此排开;而在密度稀疏的地点,离子的正电荷吸引周围电子,这种静电力是形成等离子体振荡的恢复力。离子声波的情况也类似。所以离子声波的振荡机制是不同于普通声波的。

等离子体中波和粒子相互作用

等离子体中各种类型波不同于普通声波的一个表现是具有朗道阻尼。这是一种典型的波与粒子无规运动之间的相互作用。

k表示波矢,每一类波(α)有其特征频率ωα(k)。是波的相速度。运动速度的粒子叫与波共振粒子。这种粒子和波一起前进,好像“骑”在波上一样,从而与波可以有比较强的能量交换。速度大于波相速的粒子,推动波前进,把它的一部分能量交给波,促使波振幅增长;对于速度略小于相速的粒子,波推动它前进,使它加速。总起来说,要看那种粒子数多,决定波是随时间衰减还是增长。这种现象叫做朗道衰减或增长。在等离子体现象中,经常遇到束流轰击等离子体情况。在束流粒子推动下,等离子体中和它共振的波不断增长,等离子体失稳。束流不稳是等离子体的一类重要的不稳定现象。

等离子体中波和波相互作用

在等离子体中,除了波与粒子之间的相互作用外,通过非线性项,还有波与波之间的相互作用。当几个波之间有共振关系时,它们之间的相互作用最强。所谓共振就是指这几个波的波矢和频率同时匹配〔例如三个波k1ω1(k1);k2ω2(k2);k3ω3(k3)满足k1k2+k3ω1=ω2+ω3匹配关系〕。在等离子体物理中,经常出现在一束强波(抽运波)作用下,等离子体失稳的现象。抽运波激发和它共振的波,这种现象叫参量激发。例如用一束强激光照射在等离子体上,激光可以被等离子体吸收,衰变成和它共振的等离子体波和离子声波(衰变不稳),激光也可以发生散射,产生离子声波或等离子体波(诱导布里渊散射或诱导喇曼散射)。这类参量激发现象在物理学的许多分支中,在许多工程技术问题中,都是常见的重要现象。

弱湍流

等离子体中,更常见的有宽广频谱(Δkk)的波动。对于总能量比粒子的热运动动能小得多的弱波情况,在60~70年代初发展了一套利用微扰论方法处理非线性相互作用的理论。假设各分波的相角具有随机性分布,对波的相角可以作统计平均,得到一套等离子体弱湍流动力方程组。这是一套描写粒子(电子、离子)准粒子(等离子体子、声子、光子……)彼此之间通过二体碰撞发生相互作用的动力论方程组,具有福克-普朗克方程形式。三波共振条件ω1=ω2+ω3k1=k2+k3可以看作是准粒子在碰撞过程中的能量、动量守恒。

60年代以来,作了许多实验检验这套线性-微扰理论。大体上说,这套理论在一些情况下能够解释一些现象,但是应用范围是很局限的。

孤立子

微扰论的局限性可能有深刻的根源。近代关于非线性波的研究清楚地表明有些类型解(或者说运动形态)是不能够从线性微扰得到的。孤立子解就是一类典型例子。所谓孤立子是指集中在空间有限区域,在独自运动过程中不会散开的一类非线性波。自从1967年以来,陆续对一些比较简单的非线性色散型波动方程(例如KdV方程,S-3方程,S-G方程……)发展了散射反演求解方法,对于在任意初始条件下解的性质有了清楚的了解。解分两类,一类基本上是线性波,一类是孤立子解。这些方程虽然简单,却具有典型性。几乎物理学的所有分支都要处理非线性波动方程(当然实际上遇到的方程常常要比上列方程复杂得多,不能简单地应用散射反演法求解),所以近十几年来都对孤立子现象作了大量研究工作。产生孤立子现象的物理实质是线性波的色散性和非线性项对波的凝聚作用的平衡。

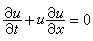
非线性项在一些情况下对波有凝聚作用。这一点可以通过一个最简单的非线性方程

来说明。可以把 u看作物质的流速。这是一个简单的流动。u大的点流速大,所以波阵面会逐渐变陡(见图)。也就是说波在空间发生凝聚。如果把u(x,t)作傅里叶变换,╛(kt)是u(x,t)的傅里叶分量,随着波的变陡将会出现具有大k值╛(k)分量。也可以说,各╛(k)分波通过 非线性项相互作用,逐渐产生愈来愈高的高次谐波。对于上述方程,随着时间的发展,会出现物理上无意义的u是x的多值函数的情况。当然在实际物理过程中,是不会出现这种情况的。

图

有两类物理因素可以阻止出现这种情况。

一类因素是波的耗损。一般地说,随着波数k加大,耗损过程会愈来愈快的把波的能量传给其他(在上列方程中未考虑的)自由度。耗损的机制很多,例如流体粘滞性、共振粒子的朗道阻尼等。由于耗损,大k值的波分量发展不起来,从而在普通空间中波不会变得非常陡,波阵面总会有一定的宽度。这时波后如果有外加推动力,不断向波提供能量,补充在波阵面发生的损耗,就会形成冲击波。

另一类阻止波凝聚的物理因素是波的色散。频率ω(k)与k有关即不是常数的波叫色散波。一个有色散的波,由于它的各个k分波的传播速度不同,在运行过程中,有在空间中散开的趋势。非线性使波凝聚,色散使波散开,在有些情况下,二者可以互相平衡,于是波动集中在空间有限区域成为波包传播,不再进一步凝聚,也不再进一步散开,形成孤立子。

等离子体中有丰富的色散波,显然可能存在着各种类型的孤立子。当前从理论分析上,数值模拟计算上以及实验上研究得比较多的是离子声孤立子和等离子波包络孤立子。

在离子声振动过程中,由于电子密度和离子密度振动不同步,发生电荷分离现象,这种现象使声波具有色散性,这种色散性和振动的非线性形成了局部密度隆起以超声速运动的离子声孤立子。

高频等离子体波在振荡过程中,可以产生有质动力,把等离子体排开,形成等离子体局部凹陷,等离子体波被俘获在凹陷中,凹陷以亚声速运动,这种孤立子叫等离子波包络孤立子。

这些现象在等离子体实验中和数值模拟计算中,都已观察到。

孤立子具有类似粒子的性质。它们之间互相碰撞可以发生散射、分裂、融合现象。它可以发射、吸收线性波,俘获电子、离子并交换能量以及在外界作用下加速等。孤立子在等离子体动力论中可能占有重要地位。当前对这些复杂现象的研究还处在初始阶段。

总之,经过近30年的努力,等离子体动力论已经取得了不少的进展,但总的说来,仍处在很不成熟的发展阶段。

参考书目
  1. N.A. Krall and A.W. Trivelpiece,Principles of Plasma Physics,McGraw-Hill,New York,1975.