[拼音]:kongqi donglixue xiaoraodonglilun
[外文]:small-perturbation theory of aerodynamics
用于分析一类可压缩流动的一种近似理论。当无穷远处匀直气流以小攻角流过扁平或细长物体时,物体给该气流的扰动一般较小。如原匀直流的速度为V∞,扰动速度为v┡,在一般情形下,有
。分析这种小扰动流动,可将扰动的高阶项,如
略去,使描述流动的方程式大为简化,易于求解。简化后的方程仍然保留原方程式的某些主要特征,也能表征流动的主要特征,这种理论称为小扰动理论。在亚声速流动或超声速流动问题中,小扰动假设把基本微分方程简化成线性方程,此时称为线化小扰动理论。在跨声速流动和高超声速流动问题中,小扰动假设虽可使基本方程简化,但不能使之成为线性的,因而求解还很困难。
在Oxyz直角坐标系中,设原匀直流的流向为正x方向,流速为V∞,流场中任意一点处的速度分量可表为:
,
式中v憤、v揙、v╚分别为扰动速度的三个分量。在小扰动情况下,它们满足:
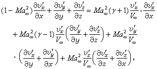
求出这些扰动速度分量,流动问题就解决了。在定常和可忽略粘性的可压缩流动中,利用小扰动假设,忽略气体动力学基本方程组(见流体力学基本方程组)中的二阶和二阶以上的小量,可得出如下的小扰动方程:
式中
为匀直流的马赫数;γ为比热比。
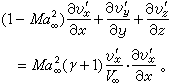
此时
不接近于1,又不是很大,小扰动方程中右边诸项同左边诸项相比为高阶小量,可忽略,故小扰动方程简化为:
。
这就是亚声速流动或超声速流动的小扰动方程,称为普朗特-格劳厄脱方程。该方程是线性的,可以应用解的叠加原理求解。对于具体的流动问题,如再将物面边界条件也作线性化处理,就比求解原来的非线性基本方程容易,应用也广泛。
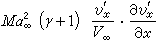
跨声速流动情形此时
接近于1,小扰动方程中右边的第一项
和左边第一项
可能成为同一数量级,因而不能忽略,此时小扰动方程简化为:
它比原气体动力学基本方程简单,但仍是非线性的,求解还有不少困难。目前已有一些求解的方法,这些方法以及基于小扰动假设之上的跨声速相似律是跨声速小扰动理论的主要内容(见跨声速流动)。
高超声速流动情形在小扰动假设下,从气体动力学基本方程出发,利用激波关系式和物面边界条件,可对激波层内的扰动速度、压力和密度等物理量进行量级估计。考虑具有常比热比的完全气体,若设 δ为流动问题中的小量(如物体细长比),又设V∞、p∞、ρ∞和
分别为来流速度、压力、密度和马赫数;v憤为激波层内沿来流方向的扰动速度,v揙、v╚为气流在垂直于来流方向的平面内的扰动速度分量;p2和ρ2为激波后的气流压力和密度。量级估计给出
,
。由此对气体动力学基本方程组、激波和物面的边界条件进行无量纲化,略去二阶和二阶以上小量,可得到与前述不同的简化的高超声速小扰动方程和相应的边界条件。这些方程仍为非线性方程,但显示出流动在一定条件下可有相似性的重要结果:若两个相似的物体(无量纲物形方程相同)的参数K(K=
/δ)、气体的比热比γ和α/δ(气流攻角α同细长比的比值)都对应相等,则这两物体的绕流流动是等效的,或称为彼此相似,即在相同的无量纲空间位置上,流动的无量纲物理量(如压力、密度、速度等)对应相等。这一等效性规律称为相似律。K、γ、α/δ称为尖薄体高超声速相似参数。物体的压力系数、举力系数和阻力系数也将只与这些相似参数有关。相似律在理论和实验研究上都有重要意义。上述高超声速相似律是由中国学者钱学森和郭永怀于1946年研究二维和轴对称无旋运动方程时提出的,后来又有许多发展。小扰动量级分析表明,尖薄物体作高超声速运动时对气流的扰动,在运动方向上的扰动速度比
为高阶小量,在准确到一阶时可以忽略。因此,可近似地认为物体的运动只引起气体的横向扰动。从数学上看,在小扰动条件下,一个三维定常流动通过变数变换可转化为二维非定常流动。相应地,可将物体的三维绕流运动比拟成二维非定常活塞运动。设想在x=x0处有一固定平面,当物体尚未到达该平面时,该平面上的气体处于静止状态,如果在初始瞬时t1物体的顶点刚好接触到平面,则平面上的气体在此瞬间即将开始运动。此后,物体与平面相交,头部激波也与平面相交。在激波与平面的交线和物体与平面交线之间的气体以一定的速度运动。随着时间的延续,这两种交线均向四周扩展。从平面上看,这种情况好象一个柱状活塞作径向膨胀运动并带动周围气体运动,在运动气体外围有一激波随时间向外传播。这样就建立了高超声速尖薄体绕流与二维非定常活塞运动的近似等效比拟关系。这种等效性原理也称为平面截面律。利用平面截面律可以求解尖薄体高超声速绕流问题。当绕流满足最简单的相似解的条件时,问题就简化为常微分方程组的求解。二维楔、轴对称圆锥和幂次体等零攻角绕流问题的求解就属这一类型。