非线性力学

主要研究体系的定解方程、本构方程、运动方程等非线性方程的各类问题。由于新现象的发现,新材料和新结构的应用,使非线性理论广泛受到重视,不少学者对古典理论从几何的或物理的角度进行了不同程度的修正,提出了各式各样的非线性工程理论,形成了许多非线性分析的新学科。非线性力学近年来在结构与介质的共同作用、工程结构抗震动力学、土力学断裂力学、流体力学、疲劳、热应力……等等方面都得到了广泛的发展。

非线性弹塑性力学

在工程问题中有两种非线性类型──几何的和物理的。它们可以看作彼此没有关联,如转动角的微小并不包括伸长度和切应变的微小,反之亦然。这样,从几何上和物理上的线性和非线性区分工程问题,可分为四种:物理线性和几何线性、物理非线性和几何线性、物理线性和几何非线性、物理非线性和几何非线性。后三类都是非线性问题,均以软钢为例作说明。

物理线性和几何线性

在这一类型的问题中,物体转动角的大小同伸长度和切应变同一量级,而伸长度小于所研究材料的比例极限。受拉伸的直杆,当杆中的应力不超过比例极限时,是线性问题中最简单的例子。

物理非线性和几何线性

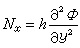
在计算作用于微元体上力的投影和在确定其应变时,仍可略去转动角,但是伸长度超过了比例极限,此时应力和应变之间是非线性关系,对结构要进行弹塑性分析。如理想的弹塑性材料的矩形梁的弯曲情况,只限于非线性弹塑性小变形、静力分析范围,其基本假设与弹性梁弯曲理论相同。当均布荷载不断增加到某一数值时,梁中最大弯矩的截面上最大应力点开始屈服,然后塑性区逐渐对称地从上下两面开始扩展,最后整个截面进入塑性区。当荷载q 大于初始屈服荷载qe时,梁的中部为部分塑性区,两端为弹性区域(图1a),当ρq/qp=2/3时(qp为梁的极限载荷),梁开始屈服,屈服发生在梁中间截面的上下两点。如果荷载继续增大,则屈服点扩大成为上下两个塑性区域,以至两塑性区域最后在梁轴中点连接起来,达到截面全部塑性状态,此时ρ=1,荷载称为极限荷载,图1b表示在不同的 ρ时的弹塑性界线。图2表示w0/w奵与ρ 的关系,其中w0表示x=0处的挠度,w奵表示梁中央横截面上外边纤维应力首先达到屈服极限时的中点挠度(也称为弹性极限挠度)。由图可见,w0/w奵的数值随ρ值的增加而增大,当 ρ=0.95时(即非常接近于极限荷载时),w0/w奵≈2,但挠度并不太大,仍属弹性变形量级。若材料为理想塑性材料,当ρ=1.0时,简支梁处于极限状态,可以开始无限制的塑性变形,在梁跨中截面处形成所谓“塑性铰”。近年来,对于强化材料构成的梁板结构,用已知结构的弹性解分析结构的弹塑性静力与动力性能。基于塑性应变与作用力之间的相似,可以把对弹塑性体的分析化为具有一组附加外力的相同弹性体进行分析。如弹塑性梁的运动方程为

图 图

公式 符号   (1)

式中E为弹性模量;I为惯性矩;公式 符号为梁进入弹塑性状态后的附加荷载,即塑性应变(e")应。方程左端与弹性梁振动完全一样,其刚度及本征向量正规振型都不随时间而变化,只是将塑性应变增量当成作用在物体上的附加力看待。这样,就可以应用已知弹性解分析相应弹塑性结构的应力、应变和位移。

物理线性和几何非线性

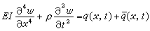
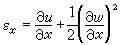
在这一类问题中转动角实质上是大的(在应变不超过比例极限的情况下),亦即物体变形不是微小的,因此不能略去形变的乘积不计,从而形成了几何上的非线性。如可以把优质钢的薄长条弯到两端碰在一起,放松后它将恢复平直而没有剩余应变。这说明了即使在很大的位移和转动角下,长条中的应力仍可不超过屈服应力(对于软钢,屈服应力和比例极限应力很接近)。在梁、板、壳体结构中也存在着大量的这类非线性问题,例如大挠度平板(柔韧板),当平板的挠度与其厚度相比不是一个小值,然后仍较平板的其他尺寸为小时,则必须考虑中面变形的影响。应变必须要考虑到高阶二次项(非线性项),如公式 符号。挠度与荷载间存在着非线性关系。由此而推得一组非线性定解方程如下:

公式 符号        (2)

公式 符号     (3)

式中D为板的抗弯刚度;h为板的厚度;w为板的挠度;Ф 为应力函数,与中面力之间的关系为 公式 符号公式 符号(2)和(3)式分别表示在直角坐标系统中大挠度平板的平衡方程和形变连续性方程。几何非线性问题已在梁、板、壳体结构静力、动力和稳定问题中得到广泛的应用。

物理非线性和几何非线性

在这类问题中,应变超过比例极限,同时转动角也大到再不能把它当做小值来看待,必须同时在应力-应变关系公式中,在微元体的平衡方程中及在应变公式中考虑到非线性项。如在钢条弯曲时应力超过比例极限,就属于这一类问题。这是两类非线性同时存在的问题,如果用联合求解的形式,可以获得较满意的近似解。

非线性振动

一个物理的振动系统,当它的元素都服从线性规律时,可用线性方程表示。在许多元素中,有关的物理量的变化不能视为很小,因而出现非线性时,则对应的方程是非线性方程。在元素的微小变化不服从线性规律的情况下,也成为非线性方程。凡是由非线性方程描述的振动系统称为非线性振动。在一个自由度系统的振动问题中,一般总是认为弹簧内的弹性力与其变形成比例,结构阻尼与速度成比例,结构质量不随时间变化,这样,一个自由度系统振动方程就是线性、常系数的二阶常微分方程

m塯(t)+β凧(t)+kx(t)=F(t)     (4)

式中m为质点质量;β为粘滞阻尼系数;k为弹性恢复系数。但是在有些工程中,如结构与流体的共同作用,此时一个自由度的非线性方程为

m塯(t)+β凧(t)+kx(t)+Cd喣凧(t)喣凧(t)=F(t)    (5)

式中mβk均为常数;Cd喣凧(t)喣为流体的阻尼系数,喣凧(t)喣取模表示流体阻尼力方向与结构运动方向总是相反的。对于mβk都是空间和时间函数时,一个自由度的典型的非线性方程为

公式 符号     (6)

要对方程(6)进行求解,目前尚有困难。

非线性波动

近几年来,在物理学和工程技术的许多领域中,非线性波的传播越来越受到重视。一般把服从于非线性方程的有限振幅的波称为非线性波。由于迭加原理不能用于求解非线性波动方程,无法应用常用的傅里叶展开和普拉斯变换,所以较难查明非线性波的性质。但是最近随着各种非线性波动现象问题的提出和电子计算机的发展,使它的研究取得快速的进展,弄清了各种新的问题。非线性波也和线性波一样,可区分为耗散性和色散性。但是,对于非线性波,如果忽略耗散性和色散性,波的相速度一般仅由振幅决定。在这种情况下,通常振幅越大波的相速度就越大。因此,如果开始时大振幅波在小振幅波的后面,则随着时间的增长,大振幅波将追上前面的小振幅波,发生波的突陡,最后波被破坏。超声速飞机产生的冲击波可作为这种耗散型非线性波的一个典型例子。扫过冲击波阵面的气体由于粘滞性而被加热,这个耗散性与由飞行器引起的突陡相平衡而形成冲击波。冲击波不仅在气体中传播,而且也在液体和固体中传播,爆炸产生的冲击波的应用范围特别广泛。

非线性随机振动

设有一随机微分方程为

公式 符号         (7)

式中g(x,凧)是位移x和速度凧的非线性函数;F(t)是随机荷载,这种包括非线性影响的随机微分方程所描述的系统振动就属于非线性随机振动。非线性随机振动不同于线性随机振动的主要方面有:

(1)不能使用迭加原理;

(2)不能使用相关理论;

(3)输入是正态分布时,输出就不再是正态分布。非线性随机振动除去少数已知其精确解的问题外,大量实际上有重要意义的问题只能用近似解法处理。求解非线性随机振动问题的方法,主要有:

(1)福克尔-普朗克法;

(2)等价线性化法;

(3)摄动法 (小参数法)。