感光树脂

利用某些聚合物具有光分解的特性,或某些单体具有光聚合或光交联的特性而产生图像的非银感光材料感光树脂具有感光性是因含感光性官能团。由于含有不同类型的感光基团,感光树脂可以发生不同的光化学反应,有光分解、光交联和光聚合等。在实用的感光树脂体系中,也可能同时发生两种变化,如光聚合和光交联,光分解和光交联等。

制备感光树脂的方法有:

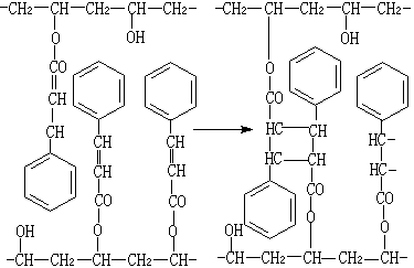
(1)使高分子化合物本身带有感光性官能团,如聚乙烯月桂酸酯在光照时产生分子间的交联反应:

公式 符号

经溶剂处理后,可以制成浮雕图像。

(2)在高分子化合物中加入感光性化合物,在光照时与高分子化合物反应,如在明胶或聚乙烯醇中加入重铬酸盐、在环化橡胶中加入重氮化合物。

(3)由有光聚合能力的烯类单体直接光聚合而成。

感光树脂广泛应用于印刷工业中制版,用作光致抗蚀剂(即光刻胶)、紫外光固化涂料、光敏油墨、光固化粘合剂等。