[拼音]:renkou zengzhanglü
[外文]:population growth rate
以百分比表示的人口增长速度,一定时期内(通常是 1年)人口增长数对期初人口总数之比。计算结果表明,年末人口数比年初人口数增长百分之多少。计算公式是
式中P0为年初人口数;P1为年末人口数。
在计算若干年的平均年增长率时,常用以下3种方法:
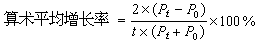
(1)
式中Pt为t年末人口数。
例如,1980年底中国人口数为98705万,1985年底为104532万,按以上公式,平均增长率为
(2)
仍以前面1981~1985年为例:
(3)
1981~1985年5年的指数平均增长率
人口增长是自然增长和迁移增加的综合结果。人口增长率等于出生率-死亡率+迁入率-迁出率。人口增长率为正数时表示总人口数在增加,人口增长率为负数时表示总人口数在减少。就全世界而言,人口增长只有人口自然增长一个因素,人口增长率等于人口自然增长率。1986年全世界人口增长率为 1.7%。不同国家或地区差别很大。非洲人口增长率为2.8%,其中东非高达3.0%;拉丁美洲2.3%;亚洲1.8%;大洋洲1.2%;欧洲0.3%,其中:瑞典、民主德国为零增长,丹麦、联邦德国、匈牙利为负增长。