相关分析

浏览

描述两个或两个以上变量间关系密切程度的统计方法。变量间关系的密切程度常以一个数量性指标描述,这个指标称相关系数,是社会学中较为普遍采用的一种资料分析的方法。根据变量的层次和数目,相关分析可作如下的分类。

定距变量以上的相关

根据相关的准则,以直线为准,称作直线相关;以非直线为准,称作非直线相关。无论是直线相关或非直线相关,都可以进一步根据变量数目来分类。

简单直线相关

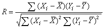
讨论两定距变量间线性相关的程度与方向。例如,父辈受教育年限与子辈受教育年限之间的关系。简单直线相关系数r,又称皮尔逊相关系数或积矩相关系数。

公式 符号

式中xy为两相关变量,它们的测量值都是成对的:(x1y1),(x2y2),……,(xnyn)。相关系数r 的性质有:

(1)相关系数的取值范围为-1≤r≤+1;

(2)r为正值时,两变量间为正相关(图a);

图

r为负值时,两变量间为负相关(图b);

图

④相关系数的绝对值│r│愈大,两变量间相关程度愈密切。r=+1,为完全正相关(图c);

图

r=-1,为完全负相关(图d);

图

r=0,两变量完全无关(图e)。

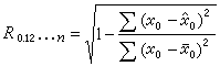
图 复相关

研究一个变量 x0与另一组变量 (x1x2,…,xn)之间的相关程度。例如,职业声望同时受到一系列因素(收入、文化、权力……)的影响,那么这一系列因素的总和与职业声望之间的关系,就是复相关。复相关系数R0.12…n的测定,可先求出 x0对一组变量x1x2,…,xn的回归直线,再计算x0与用回归直线估计值憫之间的简单直线回归。复相关系数为

公式 符号

R0.12…n的取值范围为0≤R0.12…n≤1。复相关系数值愈大,变量间的关系愈密切。

偏相关

研究在多变量的情况下,当控制其他变量影响后,两个变量间的直线相关程度。又称净相关或部分相关。例如,偏相关系数 r13.2表示控制变量x2的影响之后,变量 x1和变量x3之间的直线相关。偏相关系数较简单直线相关系数更能真实反映两变量间的联系。

偏相关系数、复相关系数、简单直线相关系数之间存在着一定的关系。以3个变量x1x2x3为例,它们有如下的关系:

公式 符号

公式 符号

定序变量的相关

讨论两个定序变量间的相关的程度与方向。又称等级相关。例如,研究夫妇双方文化程度的相关等。等级相关系数有R系数和γ系数。

R系数

计算方法与简单直线相关系数相同。

公式 符号

式中XY分别为xy的测量值的等级。

英国统计学家 C.E.斯皮尔曼R系数中推导出简捷式,称斯皮尔曼等级相关系数:

公式 符号

式中di=xi-yii=1,2,…,NN为次数)。

等级相关系数 R具有与简单直线相关相同的性质:取值范围在〔-1,+1〕之间;R的绝对值愈大,变量间的等级相关程度愈大。

γ系数

适用于资料次数N 很大的情况。

公式 符号

式中Ns为同序对数目,Nd为异序对数目。

同序对表示两个个案(xiyi)和(xjyj)相比时,具有xixj,则yiyj的性质;反之,若xixj,但yiyj,则称作一个异序对。

γ系数的取值范围在〔-1,+1〕之间。γ的绝对值愈大,变量间的等级相关程度愈大。

定类变量的相关

研究两个定类变量间的相关程度。又称品质相关。例如,性别与宗教信仰,民族与宗教信仰等。为了研究定类变量间的相关,先将资料按两种变量进行交叉分类,设x共分c类,y共分r类,得r×c频次分配表。

图

列联表中变量相关程度有两种测量方法:λ系数和τ系数。

公式 符号 公式 符号

当边缘分布与每列的分布(即条件分布)相同时,λτ达极小值:λ=0,τ=0,表示xy无关。当各行及各列都只有一个不为零的频次值时,λτ达极大值:λ=1;τ=1,表示xy全相关。

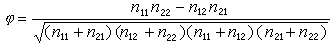
如果列联表中所分类别都只有两类:c=2;r=2。称2×2列联表。它的相关系数可按φ系数和Q系数计算:

公式 符号 公式 符号

φ=0或Q=0时,表示x变量与y变量无关。而当φQ的绝对值为1时,表示x变量与y变量全相关。

r×c列联表中变量的相关性,有时还采用列联系数。

公式 符号

式中

公式 符号

列联系数c取值范围在0≤c<1。20世纪80年代以来,社会学中已很少使用c系数,一般用λ系数和τ系数。

参考文章