在我国,80%的农药品种是有机磷农药,该类农药具有品种繁多,生产工艺复杂,副产物多,三废排放量大、含盐量高、色重、味臭、难生化等特点。以乐果废水为例,该水味奇臭,COD 高达200000 mg /L,有机磷含量1000 ~ 18000 mg /L,含盐量15%。目前国内有机磷生产厂家往往对该类废水未经处理或处理不达标就向外排放,严重地污染了环境,因此研究并实施有机磷农药废水处理方法是治理农药行业污染的重点。
1 有机磷农药的分类、生化特点及废水共性
1.1 有机磷农药按化学结构大致分为
(1) 磷酸酯类,如敌百虫、草甘膦等,该类化合物生化处理比较容易,如南通农药厂生产的敌百虫,久效磷等废水直接稀释进生化,COD 去除率可达85%左右[1]。
(2) 一硫代磷酸酯类,如甲基对硫磷、甲基嘧啶磷、丙溴磷等,该类化合物因含硫而味臭,不能被微生物降解,与可生化降解物混合,可部分降解为正磷酸。
(3) 二硫代磷酸酯类,如乐果、马拉硫磷等,该类化合物因含多硫味特臭,不能被微生物降解,与可生化降解物混合,极少部分降解为正磷酸。
由以上可知,硫代磷酸酯类有机磷农药是该类农药预处理的重点和难点,只有通过预处理降解才能进一步进生化池生化。
图1 有机磷农药的分类
Fig.1 Classification of organophosphorus pesticides
2.2 有机磷农药废水共性成分
通过对有机磷废水的成分分析可知,废水中95% 以上不是农药本体,而是它们的中间体及不同阶段的降解产物(图2)中含量较多的有:
图2 有机磷农药废水降解产物
Fig.2 Degradation products of organophosphorus pesticide wastewater
3 有机磷农药废水预处理的方法
近年来对有机磷废水的处理,基本围绕着分解和去除废水中的有机硫、磷进行,大体可分为物理处理法和化学处理法。物理处理法包括: 吸附、萃取、气提、絮凝沉降等方法,化学处理法包括: 氧化、还原、水解等方法。
3.1 物理处理
3.1.1 吸附
吸附是一种物质附着在另一物质表面的过程。目前采用较多的吸附剂有大孔树脂、活性炭、粉煤灰及膨润土。其中大孔树脂及活性炭因价格昂贵,使用受到一定的限制,且存在活化再生的问题,而粉煤灰吸附虽效果不及前者,但处理简便、成本低廉,可达到以废治废的效果、目前得到广泛应用。如文献报道[2]采用季铵盐改性粉煤灰处理有机磷废水,磷的吸附率可达97%。
3.1.2 萃取
萃取: 采用与水不溶而能很好溶解污染物的萃取剂,使其与废水充分接触,利用污染物在水及溶剂中溶解度的不同,达到分离和净化废水的目的。使用比较多的有络合萃取、液膜萃取。在处理丙溴磷废水时采用TBP 与环己烷形成络合剂萃取回收水中的氯酚,氯酚回收率可达98%。沈阳化工院采用液膜萃取含酚废水,也达到很好的效果[3]。
3.1.3 气提、吹脱
气提、吹脱法是将气体吹入废水,使溶解性气体或易挥发性物质变成气体,从而净化废水的过程。湖南海利集团采用蒸汽气提回收乐果硫磷酯工段废水中的氨氮,氨氮去除率可达85%,大大提高了废水的可生化性。
3.1.4 絮凝、沉降
絮凝沉降是采用加入絮凝剂破坏废水悬浮颗粒的稳定性,消除颗粒间的斥力,使颗粒接触并吸附在一起,再通过絮凝剂进行架桥及网捕,形成大颗粒从水中分离的方法。该方法因简单,成本低广泛应用在废水处理中。现有絮凝剂主要有无机絮凝剂及有机絮凝剂两大类,无机絮凝剂主要有硫酸铝,聚合氯化铝、聚合硫酸铁等,有机絮凝剂主要有聚丙烯酰胺和甲醛-双氰胺类。
3.2 化学处理
3.2.1 化学氧化法
化学氧化法主要包括电催化氧化、芬顿氧化、及湿式氧化法。
(1) 电催化氧化处理技术
电催化氧化处理技术是一种高级的电化学氧化工艺,是利用外加电场作用,在特定的电化学反应器内,通过一系列设计的化学反应、电化学过程或物理过程,达到预期的去除废水中污染物或回收有用物资的目的。在反应过程中一般是直接氧化和间接氧化同时进行。现在应用较多的电催化氧化技术是以活性碳、惰性金属(Ag,Pt,Ti 等) 和表面涂覆PbO2,SnO2,Sb2O5等氧化膜的惰性金属为阳极,以铁板为阴极,通过电极的直接和间接作用,达到去除污染物、净化水质的目的[4]。湖南海利集团将这一技术运用到硫磷酯废水及甲基嘧啶磷的废水处理中,COD 去除率可达45%,可生化性得到大幅的提高。
(2) 芬顿氧化法
Fenton 法是一种高级氧化工艺。通过Fe2 + 和H2O2结合生成高反应活性的羟基自由基,它可有效处理绝大多数难降解有机废水。与其他高级氧化工艺相比,具有操作简单、反应快速等优点。由于使用双氧水,成本还比较高,限制了该法的广泛应用。如李荣喜等将芬顿法运用到降解湖南天宇化工农药有限公司的三唑磷农药废水,COD 去除率高达95%[5]。为提高芬顿试剂的效率,目前有报道采用UV/Fenton 及超声(微波) /Fenton 的方法,能使COD 去除率提高10% ~ 20%[6]。
(3) 湿式氧化法
湿式氧化法简称WAO,是以空气及氧气为氧化剂将溶解及悬浮于水中的有机物或还原性无机物,在高温高压下进行液相氧化分解,大幅去除COD/BOD/SS 的方法。该方法氧化彻底,如处理硫磷酯废水,能将其完全无机化,但该法对设备要求高,反应条件苛刻、设备成本高,在国内使用尚不普遍[7]。
3.2.2 化学还原法
铁/炭微电解属电化学还原技术,利用铁一炭体系形成的微原电池对水中难降解污染物进行处理。微电解作用机理主要包括:(1) 铁屑的吸附作用; (2) Fe 的还原作用; (3) 微电解产物Fe2 +、氢的还原作用; (4) Fe2 + /Fe3 + 的絮凝作用。匡蕾、扬庚等将此法用在处理有机磷农药中间体乙基氯化物生产废水中,处理后水的COD、硫化物、总磷的去除率分别高达90.2%、99.4%、95.0%,废水的可生物降解性明显提高,为进入生化创造了条件[8]。
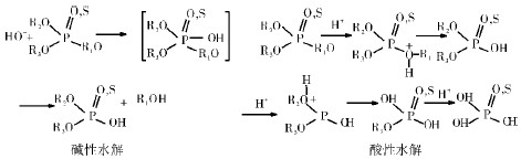
3.2.3 水解法
有机磷农药水解分碱式水解、酸式水解[9]。碱式水解机理为OH-进攻P 原子,发生Sn2取代。碱性条件下从三酯水解成二酯容易,再继续水解困难,因此一般停留在一级水解阶段。在酸性条件下水解反应的机理一般认为首先使连酯的氧原子上质子化,然后碳原子受到攻击发生Sn2取代反应,经不断取代,最终水解为无机磷。化学水解法处理有机磷农药废水从理论上看是可行的,从实际应用看是有效的,尤其适宜处理高浓度有机磷废水处理。如在酸性条件水解水胺硫磷,有机磷、硫化物、NH3- N 和总磷去除率均大于90%,COD 去除率达50%以上[10]。
图3 有机磷水解
Fig.3 Hydrolysis of organic phosphorus
4 结论
有机磷废水种类很多,依结构分,共同的中间体有同样的废水,但因农药缩合的另一半差异,不同的废水要采取不同的处理方法,单独采用任何一种方法处理高浓度有机磷农药废水在经重点难点贯穿于课堂讨论中去,加强教学效果使学生能够牢固掌握复合材料的一些基本概念方法,还能对大学生创新能力的培养起到重要作用。
2 互动式教学讲授《复合材料》的实践和探索
2.1 教师主讲和学生汇报相结合
根据《复合材料》课程的特点,在课程前面的章节以教师讲授为主,主要讲授复合材料的基本知识。包括: 复合材料的结构组成、基体、增强体以及复合材料的界面和结构设计。在讲授过程中根据教学大纲的要求力求做到让学生熟练掌握复合材料的基本概念,掌握材料的制备方法和设计原则,了解复合材料在航空航天、工业建筑等领域的应用。在此基础上进行第二阶段教学,即学生汇报和讨论。。
教师根据不同基体的复合材料如: 聚合物基复合材料、水泥基复合材料、金属基复合材料、陶瓷基复合材料等主题对学生进行分组。每组同学在教师的指导下围绕将要汇报的主题进行资料的调研工作,然后自命题目制作幻灯片进行主题汇报。汇报的情况将作为课程成绩考核的一个重要部分。
2.2 课堂讨论与课外整理相结合
学生汇报完毕,教师可以根据学生所讲内容进行补充并引导学生围绕相关问题进行分组讨论。如聚合物基复合材料的结构与性能之间的关系。如何通过结构的控制来对性能进行优化设计等。要求各组学生根据课堂讨论的结果归纳总结,整理成综述报告。
3 《复合材料》课程的互动式教学对材料学专业大学生创新能力培养的重要意义
3.1 通过文献调研提高了学生的自主学习能力
在教师布置相关课题的基础上,要求学生围绕主题进行资料的查阅和整合。这样,学生在查找文献的过程中,首先要对课题进行思考,弄清楚需要哪方面的文献以及从哪些地方获取等问题,然后才能进行文献资料的调研。经过一段时间的文献调研工作,提高了学生独立思考的能力和查阅科技文献的能力。同时,学生的学习积极性、自信心将会得到极大的提升。
3.2 通过主题汇报提高了学生的总结归纳能力和对科学问题的提炼能力
在掌握大量文献资料的基础上,学生围绕汇报主题制备幻灯片并进行课堂汇报。在这个阶段学生需要对前期的资料进行有效的整合归纳,进而提出一些科学问题。如,如何来提高水泥基复合材料的力学性能? 现有的手段有哪些不足之处? 在汇报过程中做到思路清晰、重点突出。多进行这样的锻炼,学生的总结归纳能力和对科学问题提炼的能力自然得到了显著的提高。
3.3 在讨论过程中提高学生的创新思维能力和创新意识
在学生主题汇报完毕后,教师应根据学生讲述的内容进行点评,并提出问题与同学们一起讨论。在讨论过程中以学生为主体,教师引导学生在掌握大量资料文献的基础上提出解决问题的方法,鼓励学生打破传统思维定势,开拓创新的方法和手段。同时,要善于把握不同知识点之间的内在联系,在进一步巩固《复合材料》课程主要知识点的基础上达到融会贯通的效果。














