¡¡¡¡ßäßòßøÀàÑÜÉúÎïÊÇÒ»ÖÖ»·¾³ÓѺÃÐÍ»ºÊ´¼Á¡²1¡³£¬ÓÉÓÚÆäÔÁϾßÓÐÒ׵á¢ÖƱ¸¼òµ¥¡¢µÍ¶¾¡¢¸ßЧµÈÌØµã£¬ÔÚ¹úÄÚÍâÓÍÆøÌï¡¢ËáÇåÏ´¡¢¸ÖÌú³§ÀäÔþµÈÁìÓò¹ã·ºÊ¹Óá²2¡³¡£Ä¿Ç°Ê¹Óý϶àµÄßäßòßø¼¾ï§ÑÎÀ໺ʴ¼ÁÊÇÓÉÓлúËáÓë¶à°·¾¹ýÍÑË®ËõºÏµÃµ½ÓÍÈÜÐÔµÄßäßòßø£¬ÔÙ¾¹ýÍé»ù»¯ºó¶øµÃµ½¡£ßäßòßø¼¾ï§ÑÎÊÇÒ»ÖÖÎü¸½Ä¤ÐÍ»ºÊ´¼Á£¬»ºÊ´¼Á·Ö×Ó»ùÍÅÔ½´ó£¬ÔÚ½ðÊô±íÃæµÄÎü¸½¾ÍÔ½ÍêÈ«£¬»ºÊ´¼Á¾ÍÔ½¸ßЧ¡£ÎªÌá¸ß»ºÊ´ÂÊ£¬¹úÄÚÍâѧÕß¶ÔÓлúËáºÍÍé»ù»¯ÊÔ¼Á×öÁË´óÁ¿µÄÑ¡Ôñ£¬µ«Ëæ×Å»ºÊ´¼ÁÏà¶Ô·Ö×ÓÖÊÁ¿µÄÔö´ó£¬ÊƱػáÓ°ÏìÆäË®ÈÜÐÔ£¬Òò´ËÈçºÎÔÚÒýÈëÈ¡´ú»ùÔöÇ¿»ºÊ´Ð§¹ûµÄͬʱÓÖ±£Ö¤ÆäË®ÈÜÐÔ£¬ÈÔÊÇÒ»¸öÖµµÃÑо¿µÄ¿ÎÌâ¡£
¡¡¡¡ßäßòßø¼¾ï§ÑÎÀ໺ʴ¼ÁÊÇ´øÕýµçµÄ¼¾ï§ÑôÀë×Ó£¬Îü¸½ÔÚ´ø¸ºµçµÄ½ðÊô±íÃæ£¬³¤µÄ̼Á´×÷ΪÊèË®»ùÔ¶Àë½ðÊô£¬´Ó¶øÐγÉÒ»²ãÖÂÃܵı£»¤Ä¤£¬Ê¹µÃÇâÀë×ÓÄÑÒÔ½Ó½ü½ðÊô±íÃæ¡²3¡³¡£ÓÉÓÚ¡ªC=C¡ªË«¼ü¦Ðµç×ÓÒ×Óë½ðÊôÔ×Ó¿Õ¹ìµÀ·¢Éú×÷Óá²4¡³£¬Èç¹û°ÑË«¼üÒýÈ뻺ʴ¼Á·Ö×ÓÖУ¬ÓÐÍû½øÒ»²½ÔöÇ¿»ºÊ´¼Á·Ö×ÓÔÚ½ðÊô±íÃæµÄÎü¸½£¬²¢¸ÄÉÆÆäË®ÈÜÐÔ¡£
¡¡¡¡±ÊÕßͨ¹ýÔÚßäßòßø»·N(1)Ô×ÓÖ§Á´ÉÏÒýÈëõ£°·ÓëË«¼üºÏ³ÉÁËÒ»ÖÖÐÂÐÍßäßòßø¼¾ï§ÑΣ¬²âÊÔÆäÔÚ¸¯Ê´½éÖÊÖжÔA3̼¸ÖµÄ»ºÊ´Ð§¹û£¬Ì½ÌÖÆä»ºÊ´ÐÔÄܹæÂÉ£¬Îªßäßòßø¼¾ï§ÑεĿª·¢ÌṩеÄ˼·¡£
¡¡¡¡1 ÊÔÑ鲿·Ö
¡¡¡¡1.1 ÔÁϼ°ÒÇÆ÷
¡¡¡¡»·ÍéËá(ËáÖÊÁ¿·ÖÊý98.5%£¬´ÖËáÖµ198.2 mg/g£¬Æ½¾ùÏà¶Ô·Ö×ÓÖÊÁ¿278.8)£¬×ÔÖÆ¡²5¡³;¶þÒÒÏ©Èý°·(AR)£¬ÉϺ£Í¤Ð»¯¹¤ÊÔ¼Á³§;¶þ¼×±½(AR)£¬ÉϺ£Í¤Ð»¯¹¤ÊÔ¼Á³§;±ûÏ©Ëá(CP)£¬Ìì½òÊпÆÃÜÅ·»¯Ñ§ÊÔ¼Á¿ª·¢ÖÐÐÄ;¼×±½(AR)£¬Ìì½òÊи»Óϸ»¯¹¤ÓÐÏÞ¹«Ë¾;ÂÈ»¯ÜÐ(AR)£¬Ìì½òÊдóﻯѧÊÔ¼Á³§;Õý±û´¼(AR)£¬Ìì½òÊй⸴¾«Ï¸»¯¹¤Ñо¿Ôº¡£
¡¡¡¡SXHWÐ͵çÈÈÌ×£¬¹®ÒåÊÐÓ¢ÓøÓ軪ÒÇÆ÷³§;D-2ÐÍÎÞ¼¶ºãËÙ½Á°èÆ÷£¬¹®ÒåÊÐÓ¢ÓøÓ軪ÒÇÆ÷³§;Nicolet 6700Ð͸µÁ¢Ò¶ºìÍâ¹âÆ×ÒÇ£¬ÃÀ¹úThermo Fisherµç×Ó¹«Ë¾;¹âµç·ÖÎöÌìÆ½£¬ÏæÒÇÌìÆ½ÒÇÆ÷É豸ÓÐÏÞ¹«Ë¾;RCC-¢òÐÍÐýת¹ÒƬ¸¯Ê´ÊÔÑéÒÇ£¬½ËÕ¸ßÓÊÐÂÓÊÒÇÆ÷³§;CHI 760Eµç»¯Ñ§¹¤×÷Õ¾£¬ÉϺ£³½»ªÒÇÆ÷ÓÐÏÞ¹«Ë¾¡£
¡¡¡¡1.2 ºÏ³É
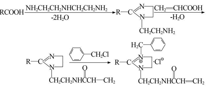
¡¡¡¡ÒԸߴ¿»·ÍéËáºÍ¶þÒÒÏ©Èý°·ÎªÔÁÏ£¬ÍÑË®ËõºÏÐγÉßäßòßøÖмäÌ塲6¡³£¬È»ºóÖмäÌåÓë±ûÏ©ËᰴĦ¶û±È1.00¡Ã1.05ÔÚ140¡æ×óÓÒ·´Ó¦10 h£¬²¢ÒÔ¼×±½ÎªÐ¯Ë®¼Á£¬µÃµ½ÓÍÈÜÐÔµÄõ£°·ßäßòßø£¬ÔÙÓëÂÈ»¯Üа´Ä¦¶û±È1.00¡Ã1.02·´Ó¦£¬²¢ÒÔÕý±û´¼×÷ÈܼÁ£¬ÔÚ110¡«120¡æÏ½Á°è·´Ó¦6 h£¬¼´¿ÉµÃµ½¾ßÓÐË®ÈÜÐԵĺ¬Ë«¼üõ£°·ßäßòßø¼¾ï§ÑÎ(DAQS)¡²7¡³£¬½á¹¹Èçͼ 1Ëùʾ(ÆäÖÐRΪ»·ÍéËáÑÜÉúµÄ»·Íé»ù)¡£
ͼ1 º¬Ë«¼üõ£°·ßäßòßø¼¾ï§ÑκϳÉ·Ïß
¡¡¡¡1.3 ²úÎïºìÍâ·ÖÎö
¡¡¡¡½«ºÏ³ÉºÃµÄDAQSÍ¿ÔÚKBrѹƬÉÏ£¬²ÉÓÃNicolet 6700Ð͸µÁ¢Ò¶ºìÍâ¹âÆ×ÒǽøÐкìÍâ¹âÆ×·ÖÎö£¬É¨Ã跶ΧΪ400¡«400 0 cm-1£¬µÃµ½IRÆ×ͼ¼°Ïà¹ØÌØÕ÷ÎüÊÕ·å¡£
¡¡¡¡1.4 »ºÊ´ÐÔÄܲâÊÔ
¡¡¡¡1.4.1 ¹ÒÆ¬Ê§ÖØ·¨
¡¡¡¡Ô¤ÏȽ«±ê×¼A3̼¸Ö¹ÒƬ(28 cm2)ÓÃɰֽ´òÄ¥¹âÁÁ£¬ÓÃÒÒ´¼ÇåÏ´ºó¸ÉÔﱸÓ᣹ÒƬʹÓÃ֮ǰÏÈÔÚ¹âµç·ÖÎöÌìÆ½ÉϳÆÖØ£¬¾«È·µ½0.000 1 g¡£
¡¡¡¡²ÎÕÕGB/T 18175¡ª2000¡¶Ë®´¦Àí¼Á»ºÊ´ÐÔÄܵIJⶨ-Ðýת¹ÒƬ·¨¡·£¬ÔÚ2 000 mLÉÕ±Öи÷¼ÓÈë8% HCl¡¢10% H3PO4¡¢10% H2SO4ÈÜÒº1 300 mL£¬ÔÙ·Ö±ð¼ÓÈ벻ͬ¼ÁÁ¿µÄ»ºÊ´¼Á£¬Í¬Ê±×ö¿Õ°×¶ÔÕÕ£¬µ±Î¶ȴﵽ55¡æÊ±£¬Ã¿¸öÉÕ±¹ÒÈë3Ƭ¹ÒƬ£¬ÔÚתËÙ75 r/minϺãÎÂÔËÐÐ6 h£¬¹ÒƬ¾¹ý´¦Àíºó¸ÉÔï³ÆÖØ¡£¸ù¾ÝÊÔÑéǰºó¹ÒƬµÄÊ§ÖØ¼ÆË㸯ʴÂÊÓ뻺ʴÂÊ¡£
¡¡¡¡1.4.2 µç»¯Ñ§·¨
¡¡¡¡ÊÔÑéÒÇÆ÷Ñ¡ÓÃÉϺ£³½»ªCHI 760Eµç»¯Ñ§¹¤×÷Õ¾£¬²ÉÓÃÈýµç¼«Ìåϵ£¬¹¤×÷µç¼«²ÉÓâòÐͱê׼̼¸Ö¹ÒƬ£¬²âÊÔÃæ»ýΪ0.23 cm2£¬ÆäÓàµØ·½Óû·ÑõÊ÷Ö¬·âס;Ptµç¼«Îª¸¨Öúµç¼«;±¥ºÍ¸Ê¹¯µç¼«(SCE)Ϊ²Î±Èµç¼«¡£ÊÔÑé½éÖʲÉÓÃ0.2% HClÈÜÒºÌåϵ£¬²âÊÔ¾ùÔÚÊÒÎÂϽøÐС£
¡¡¡¡(1)¼«»¯ÇúÏß²âÊÔ¡£É¨ÃèËÙÂÊΪ10 mV/s£¬É¨Ã跶ΧΪ -0.35¡« -0.65 mV£¬²â¶¨²»Í¬Ò©¼ÁŨ¶ÈÏµļ«»¯ÇúÏß¡£
¡¡¡¡(2)µç»¯Ñ§×迹(EIS)²âÊÔ¡£µç»¯Ñ§×迹²âÊÔÔÚ¿ªÂ·µçλÎȶ¨Ê±½øÐУ¬²âÁ¿ÆµÂÊ·¶Î§Îª100 kHz¡«0.1 Hz£¬×迹²âÁ¿ÐźÅÕñ·ùΪ5 mV¡£ÓÃZView2·ÖÎöÈí¼þ¶Ô EIS Æ×½øÐÐÄâºÏ¡£
¡¡¡¡2 ½á¹ûÓëÌÖÂÛ
¡¡¡¡2.1 ²úÎïºìÍâ¹âÆ×¼°ÎﻯÐÔÄÜ·ÖÎö
¡¡¡¡ºÏ³ÉDAQS¹ý³ÌÖУ¬Æä¸÷²½Öè²úÎïµÄºìÍâ¹âÆ×Èçͼ 2Ëùʾ¡£
ͼ2 ¸÷²½Öè²úÎïµÄºìÍâÆ×ͼ
¡¡¡¡ÓÉͼ 2¿É¼û£¬1 602.89 cm-1´¦Îªßäßòßø»·ÌØÕ÷ÎüÊշ壬ÇÒºóÐø²úÎïÖÐÒ»Ö±´æÔÚ; 1 553.02 cm-1Óë1 651.94 cm-1Ϊõ£°·ÌØÕ÷·å£¬¶øÇÒõ£°·ßäßòßøµÄËáÖµµÍÓÚ4 mg/g£¬ËµÃ÷õ£°·»¯·´Ó¦³É¹¦;ßäßòßø¼¾ï§ÑÎ698.67 cm-1´¦½ÏÇ¿µÄÎüÊÕ·åΪµ¥È¡´ú±½»·µÄ»·ÍâÕñ¶¯ÌØÕ÷ÎüÊշ塲8¡³£¬¶øÇÒ×îÖÕ²úÆ·µÄ°·Öµ¡²7¡³½Ó½üÓÚ0£¬Õâ˵Ã÷¼¾ï§»¯·´Ó¦½ÏΪÍêÈ«¡£
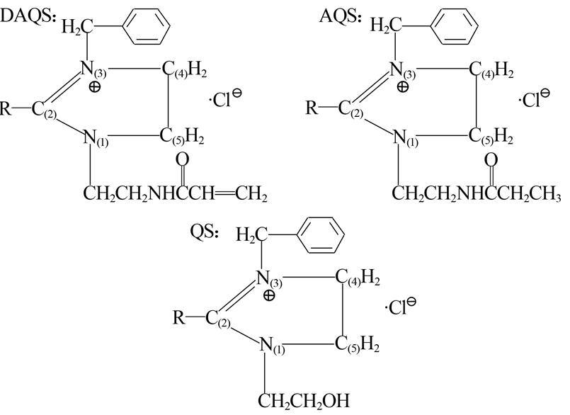
¡¡¡¡ÓëʵÑéÊÒ×ÔÖÆ¶ÔÓ¦µÄ²»º¬Ë«¼üµÄõ£°·ßäßòßø¼¾ï§ÑÎ(AQS)½øÐÐÈܽâÐԶԱȣ¬AQS½á¹¹Ê½Èçͼ 3Ëùʾ¡£DAQSµÄÈܽâ¶ÈÃ÷ÏÔ½ÏAQS´óЩ£¬DAQS¡¢AQSÔÚË®ÖеÄÈܽâ¶È·Ö±ðΪ0.67¡¢0.11 g£¬¶þÕß·Ö×ÓÖÊÁ¿Ïà½ü£¬ÓÉ´Ë˵Ã÷N(1)Ô×ÓÖ§Á´ÉϵÄË«¼üÄܹ»Ôö´óÈܽâÐÔ¡£
ͼ3 ßäßòßø¼¾ï§ÑβúÆ·½á¹¹
¡¡¡¡2.2 ËáÈÜÒºÖÐµÄ¶Ô±ÈÆÀ¼Û
¡¡¡¡ÎªËµÃ÷Ë«¼üºÍõ£°·¶Ô»ºÊ´ÐÔÄܵÄÓ°Ï죬²ÎÕÕGB/T 18175¡ª2000¡¶Ë®´¦Àí¼Á»ºÊ´ÐÔÄܵIJⶨ¡ª¡ªÐýת¹ÒƬ·¨¡·µÄÆÀ¼Û·½·¨£¬¶ÔDAQS¡¢AQSºÍ²»º¬õ£°·µÄßäßòßø¼¾ï§ÑÎ(QS)(½á¹¹Èçͼ 3Ëùʾ)ÔÚËáÈÜÒºÖеĻºÊ´ÂʽøÐÐ¶Ô±ÈÆÀ¼Û£¬Æä½á¹ûÈç±í 1Ëùʾ¡£
¡¡¡¡Óɱí 1¿É¼û£¬3ÖÖÒ©¼ÁÔÚËáÈÜÒºÖоù¾ßÓнϺõĻºÊ´Ð§¹û£¬DAQSºÍAQSµÄ»ºÊ´ÂÊÃ÷ÏÔ¸ßÓÚQS£¬Õâ˵Ã÷õ£°·Äܹ»ÔöÇ¿»ºÊ´Ð§¹û;DAQSµÄ»ºÊ´Ð§¹ûÓÖÓÅÓÚAQS£¬Ôò˵Ã÷Ë«¼üµÄÒýÈëÒàÄܹ»ÔöÇ¿»ºÊ´Ð§¹û¡£
¡¡¡¡2.3 DAQSÔÚ¸¯Ê´½éÖÊÖÐµÄ¹ÒÆ¬ÆÀ¼Û
¡¡¡¡2.3.1 8%HClÈÜÒºÖÐµÄ¹ÒÆ¬ÆÀ¼Û
¡¡¡¡¿¼²ìDAQSÔÚ8% HClÈÜÒºÌåϵÖÐµÄ¹ÒÆ¬ÆÀ¼Û£¬½á¹û±íÃ÷£ºÔÚ8% HClÌåϵÖУ¬ÉÙÁ¿µÄDAQS¼´¿É¶Ô̼¸ÖµÄ¸¯Ê´Æðµ½ºÜ´óµÄÒÖÖÆ×÷Ó㬵±Ò©¼ÁÓÃÁ¿½öΪ10 mg/Lʱ£¬»ºÊ´Âʼ´¿É´ïµ½78.61%£¬ÇÒ»ºÊ´ÂÊËæÒ©¼Á¼ÁÁ¿µÄÔö¼Ó¶ø»ºÂýÔö¼Ó£¬Ö®ºóÔںܴóµÄŨ¶È·¶Î§ÄÚ»ºÊ´ÂÊÇ÷ÓÚÎȶ¨¡£µ±Ò©¼Á¼ÁÁ¿´ïµ½1 000 mg/Lʱ£¬»ºÊ´ÂÊ´ïµ½88.62%¡£
¡¡¡¡2.3.2 10% H3PO4ÈÜÒºÖÐµÄ¹ÒÆ¬ÆÀ¼Û
¡¡¡¡¿¼²ìDAQSÔÚ10% H3PO4ÈÜÒºÌåϵÖÐµÄ¹ÒÆ¬ÆÀ¼Û£¬½á¹û±íÃ÷£ºÔÚ10% H3PO4ÌåϵÖУ¬Ò©¼ÁÓÃÁ¿ÔÚ 30 mg/L֮ǰ»ºÊ´Âʼ±¾çÔö¼Ó£¬Ö®ºó»ºÊ´ÂÊ»ºÂýÔö¼Ó£¬µ±Ò©¼Á¼ÁÁ¿´ïµ½1 000 mg/Lʱ£¬»ºÊ´ÂÊ´ïµ½90.17%¡£
¡¡¡¡2.3.3 10% H2SO4ÈÜÒºÖÐµÄ¹ÒÆ¬ÆÀ¼Û
¡¡¡¡¿¼²ìDAQSÔÚ10% H2SO4ÈÜÒºÌåϵÖÐµÄ¹ÒÆ¬ÆÀ¼Û£¬½á¹û±íÃ÷£ºÔÚ10% H2SO4ÌåϵÖУ¬»ºÊ´¼ÁÓÃÁ¿µÍÓÚ50 mg/Lʱ£¬Ëæ×żÁÁ¿µÄÔö¼Ó£¬»ºÊ´ÂÊÃ÷ÏÔÔö¼Ó£¬Ö®ºóËæ»ºÊ´¼ÁÓÃÁ¿Ôö¼Ó£¬»ºÊ´ÂÊÔö¼Ó·ù¶ÈÓÐËù¼õ»º£¬µ±ÓÃÁ¿´ïµ½500 mg/Lʱ£¬»ºÊ´Ð§¹û´ïµ½×îºÃ£¬´ËʱµÄ»ºÊ´ÂÊ´ïµ½89.23%£¬Ö®ºóËæ×ÅÒ©¼ÁÓÃÁ¿µÄÔö¼Ó£¬»ºÊ´ÂÊÉÔÓÐϽµ¡£Õâ¿ÉÄÜÊÇÓÉÓÚ½ðÊô±íÃæ±»Ò©¼ÁÍêÈ«¸²¸Çºó£¬»ºÊ´¼Á·Ö×ÓÖ®¼äµÄλ×èЧӦʹµÃ»ºÊ´¼Á·Ö×ÓÔÚÈÜÒºÖз¢ÉúÍžۣ¬µ¼Ö»ºÊ´ÂÊÓÐËù½µµÍ¡²9¡³¡£
¡¡¡¡2.4 ¼«»¯ÇúÏß²âÊÔ
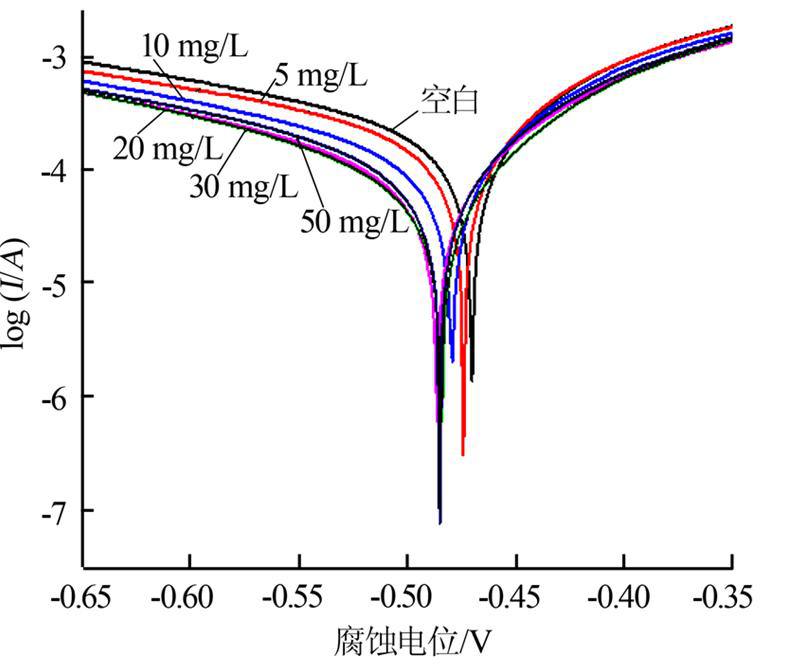
¡¡¡¡³£ÎÂÏÂ̼¸Ö¹ÒƬÔÚ0.2% HClÌåϵÖе͝µçλɨÃ輫»¯ÇúÏßÈçͼ 4Ëùʾ¡£
ͼ4 DAQSÔÚ0.2%HClÈÜÒºÌåϵÖеļ«»¯ÇúÏß
¡¡¡¡ÓÉͼ 4¿É¼û£¬Ò©¼Á¼ÓÈëºó¸¯Ê´·´Ó¦µÄÒõ¼«ºÍÑô¼«¹ý³Ì¶¼µÃµ½ÁËÒ»¶¨³Ì¶ÈµÄÒÖÖÆ¡£¼ÓÈëÒ©¼Áºó£¬¸¯Ê´µçλÏò¸º·½ÏòÒÆ¶¯£¬¶øÇÒÒ©¼ÁµÄÓÃÁ¿Ô½´ó£¬¸¯Ê´µçλԽ¸º£¬Õâ˵Ã÷ËùºÏ³ÉµÄÒ©¼Á¶Ô̼¸ÖµÄÒõ¼«ÓнϺõÄ×軯×÷Óã¬Òò´ËDAQSÔÚ0.2% HClÈÜÒºÌåϵÖÐÊÇÊôÓÚÒÔÒõ¼«ÐÍΪÖ÷µÄ»ìºÏÐÍ»ºÊ´¼Á¡²10¡³¡£
¡¡¡¡2.5 µç»¯Ñ§×迹·ÖÎö
¡¡¡¡×迹Æ×µÈЧµç·Èçͼ 5Ëùʾ£¬ÆäÖÐRsΪÈÜÒºµç×裬RpΪµçºÉ×ªÒÆµç×裬CPEΪ˫µç²ãµçÈÝ¡£
ͼ5 ½»Á÷×迹Æ×µÈЧµç·
¡¡¡¡³£ÎÂÏÂDAQSÔÚ0.2%ÑÎËáÈÜÒºÖеĵ绯ѧ×迹Æ×(Nyquist)Èçͼ 6Ëùʾ¡£
ͼ6 DAQSÔÚ0.2%HClÈÜÒºÖеÄNyquistͼÆ×
¡¡¡¡ÓÉͼ 6¿É¼û£¬¼ÓÒ©¼Áǰºó£¬NyquistÐÎ×´ÏàËÆ£¬¸ßÆµÇø¾ùΪµÚÒ»ÏóÏ޵İëÔ²»¡£¬¼ÓÈëÒ©¼ÁÖ®ºó£¬ÈÝ¿¹»¡Ã÷ÏÔÔö´ó£¬ÈÝ¿¹»¡¶ÔÓ¦µçºÉ×ªÒÆµç×èRp£¬Ëæ×ÅÒ©¼Á¼ÁÁ¿Ô½À´Ô½´ó£¬ÈÝ¿¹»¡Ô½À´Ô½´ó£¬RpÔ½´ó£¬µç¼«·´Ó¦Ô½²»ÈÝÒ×½øÐУ¬¼´»ºÊ´ÂÊÔ½¸ß¡£ÏàÓ¦µÄµç»¯Ñ§²ÎÊýÈç±í 2Ëùʾ¡£
¡¡¡¡Óɱí 2¿É¼û£¬µç»¯Ñ§×迹·ÖÎöµÃµ½µÄ»ºÊ´ÂÊËæÒ©¼ÁŨ¶ÈµÄ±ä»¯Ë³Ðò¹ØÏµÓë¹ÒƬÊÔÑé½á¹û±È½ÏÎǺϡ£µ«Æä»ºÊ´Âʲ¢Ã»ÓÐ¹ÒÆ¬ÊÔÑéµÄ¸ß£¬Õâ¿ÉÄÜÊÇÓÉÓÚËù²ÉÓõÄÑÎËáŨ¶È½ÏµÍ¡¢²âÊÔζȽϵ͡¢Ò©¼Á¼ÁÁ¿½ÏСµÄԹʡ£¡£
¡¡¡¡3 ½áÂÛ
¡¡¡¡(1)ÒԸߴ¿»·ÍéËá¡¢¶þÒÒÏ©Èý°·¡¢±ûÏ©Ëá¡¢ÂÈ»¯ÜÐΪÔÁÏ£¬Í¨¹ýÈý²½Óлú·´Ó¦ºÏ³ÉÁËÒ»ÖÖ¾ßÓÐÁ¼ºÃË®ÈÜÐԵĺ¬Ë«¼üõ£°·ßäßòßø¼¾ï§ÑÎ(DAQS)£¬ÓɺìÍâ±íÕ÷ºÍһЩÎﻯָ±ê¿ÉÅжϷ´Ó¦½ÏΪÍêÈ«¡£
¡¡¡¡(2)ÔÚÇ¿ËáÐÔÈÜÒºÖУ¬¸Ã»ºÊ´¼Á¶Ô̼¸Ö¹ÒƬ¾ßÓÐÁ¼ºÃµÄ»ºÊ´Ð§¹û£¬ÇÒ»ºÊ´ÂÊËæÒ©¼ÁŨ¶ÈµÄÔö¼Ó¶øÔö´ó¡£»ºÊ´ÂʵÄÔö¼Ó±íÏÖΪÏÈ¿ìºóÂý£¬ºóÇ÷ÓÚÎȶ¨»òÉÔÓÐϽµ¡£
¡¡¡¡(3)0.2%HClÈÜÒºÖеļ«»¯ÇúÏß½á¹û±íÃ÷£¬DAQSÊÇÒÔÒõ¼«ÐÍΪÖ÷µÄ»ìºÏÐÍ»ºÊ´¼Á¡£
¡¡¡¡(4)½»Á÷×迹Æ×ËùµÃ³öµÄ»ºÊ´ÂÊËæÒ©¼ÁŨ¶È±ä»¯µÄ˳Ðò¹ØÏµÓë¹ÒƬÊÔÑé½á¹ûÏàÒ»Ö¡£














