¡¡¡¡1 ÒýÑÔ
¡¡¡¡Ëæ×Źú¼ÒÕþ²ßÖ§³ÖºÍÒýµ¼Á¦¶ÈµÄ¼Ó´ó£¬Ì«ºþ¸»ÓªÑø»¯µÄÖÎÀíÖð¼û³ÉЧ£¬¶ÔÌ«ºþ¸»ÓªÑø»¯µÄÑо¿Ò²Öð²½ÓÉÍâÔ´ÐÔµÄÎÛȾ¿ØÖÆ×ªÒƵ½¶ÔÄÚÔ´ÐÔÎÛȾµÄ¹Ø×¢£¬µ«ÍâÔ´ÐÔÎÛȾµÄ¿ØÖÆÒÀÈ»²»ÈݺöÊÓ.Ì«ºþÁ÷ÓòÎÛȾÐÔ¹¤ÒµÒѾµÃµ½Ò»¶¨¿ØÖÆ£¬µ«Á÷ÓòÄÚÉú»îÎÛË®¡¢Å©ÒµÃæÔ´ÎÛȾÈÔδµÃµ½ÓÐЧµÄ¿ØÖÆ£¬¶øÕâЩÎÛȾÎï¾ùͨ¹ýÈëºþºÓÁ÷ÅÅÈ뵽̫ºþÖÐ.Ì«ºþÁ÷ÓòÄÚ´åÕò¼¶µÄºÓÁ÷ÌØ±ðÊǶÏͷ亾ùÓëÈëºþºÓÁ÷ˮϵÏàͨ£¬¶øÕâЩºÓÁ÷³¤ÆÚÊܵ½Ñذ¶Å©ÒµÃæÔ´ÎÛȾ¡¢Éú»îÎÛË®ºÍÈËÐó·ÏË®µÄÓ°Ï죬Ðî»ýÁË´óÁ¿µÄÓªÑøÎïÖÊ£¬µ×ÄàÓÙ»ýÑÏÖØ£¬ÓÐЩÔòÐγɺڳôºÓÁ÷£¬¶ÔÏÂÓκÓÁ÷¼°ºþ²´µÄË®ÌåÉú̬ϵͳ¹¹³ÉÖØÒªµÄÓ°Ïì;´ËÍ⣬ÕâЩºÓÁ÷ƽʱ³ÉΪ»·±£²¿Ãżà²âºÍÖÎÀíµÄäµãÇøÓò£¬µÚÒ»ÊÖ×ÊÁÏÈÔȻʮ·ÖØÑ·¦£¬Òò´Ë£¬Òª´ÓÎÛȾԴͷץÆð£¬Ê¹ÍâÔ´ÐÔÎÛȾµÃµ½Ò»¶¨¿ØÖÆ.
¡¡¡¡³Á»ýÎïÊÇÁ×µÈÓªÑøÎïÖʵÄÖØÒªÐî»ý¿â£¬¼È¿É×÷Ϊ¡°»ã¡±ÊÕ¼¯À´×ÔÉϸ²Ë®ÌåÖгÁ½µ¡¢¿ÅÁ£Îï¡¢ÔËÊäµÈ¶àÖÖ;¾¶´øÀ´µÄÎÛȾÎï;Ò²¿ÉÔÚÌØ¶¨µÄ»·¾³Ìõ¼þÏ£¬³Á»ýÎï×÷Ϊ¡°Ô´¡±½«ÎÛȾÎïÔÙ´ÎÊͷŵ½Éϸ²Ë®ÌåÖУ¬´Ó¶øÒýÆðË®Ìå¶þ´ÎÎÛȾ.Òò´Ë£¬¶ÔÉîÊÜÍâÔ´ÐÔÎÛȾӰÏìµÄ´åÕò¼¶µÄºÓÁ÷ÌØ±ðÊǶÏͷ亸øÓè¹Ø×¢Í⣬ÆäºÓÁ÷µÄÄÚÔ´ÐÔÎÛȾҲ²»ÈݺöÊÓ.³Á»ýÎï×÷ΪÄÚÔ´ÐÔÎÛȾµÄÖØÒªÀ´Ô´Ö®Ò»£¬Êǹ¹³ÉºÚ³ôºÓÁ÷ÖÐÖØÒªµÄÒ»²¿·Ö.ÕÆÏÂäº(±±¶Î)ÊÇÌ«œèÄÏÔ˺ÓÏÂÓεÄ×ÔȻ֧Á÷Ö®Ò»£¬ÑØÍ¾ÓëÊýÌõ¶ÏÍ·äºÏàÁ¬£¬Á÷ÓòÄÚÓÉÓÚÅ©´å¾Óס·ÖÉ¢£¬¼ÓÉÏÅ©´å¼¯Ìå¾¼ÃʵÁ¦ÓÐÏÞ£¬È±·¦ÓÐЧ¹ÜÀíºÍ¼¼Êõ´¦ÀíÄÜÁ¦£¬»ù±¾ÎÞÍêÕûµÄÉú»îÎÛË®ÊÕ¼¯ÏµÍ³ºÍ´¦ÀíÉèÊ©£¬Å©´åÉú»îÎÛË®¡¢Å©ÒµÍËˮֱ½ÓÅÅÈëÏÖÓÐÅÅË®¹µÇþÌÁ¼°ºÓµÀ£¬µ¼ÖºÓÁ÷ÎÛȾÈÕÒæÑÏÖØ£¬¼ÓÉϺӵÀ³Á»ýÎïÖÐÎÛȾÎﺬÁ¿¸ß£¬ÑÏÖØÓ°ÏìÁËÌ«ºþË®ÖÊ.ͬʱ£¬Ä¿Ç°¶Ôºþ²´¡¢ÈëºþºÓÁ÷¡¢ÈëºþºÓ¿Ú¡¢³ÇÊÐÄÚºÓ¼°ºþ²´µÄÍâÔ´ÐÔÎÛȾ¿ØÖƵÄÑо¿½Ï¶à£¬µ«¶ÔÅ©´åµØÇøµÄºÚ³ôºÓÁ÷¡¢¶Ïͷ亵ijÁ»ýÎïÎÛȾ״¿ö´ÓÍâÔ´ºÍÄÚÔ´Á½·½ÃæÑо¿Ïà¶Ô½ÏÉÙ.
¡¡¡¡Òò´Ë£¬±ÊÕß´ÓÌ«ºþÁ÷ÓòÅ©´åºÚ³ôºÓÁ÷ÖÐÑ¡È¡ÕÆÏÂäº(±±¶Î)×÷ΪµäÐÍÑо¿ÇøÓò£¬·ÖÎöºÓµÀ³Á»ýÎïÖÐÁ×ÐÎ̬µÄ·Ö²¼ÌØÕ÷¼°Ïà¹ØÐÔ£¬´ÓÈÕÒæ¼ÓÖØµÄÍâÔ´ÐÔÎÛȾºÍ²»ÈݺöÊÓµÄÄÚÔ´ÐÔÎÛȾÁ½·½Ãæ¸øÓèÆÀ¼Û£¬ÒÔÆÚΪºÓÁ÷ÎÛȾÏÖ×´ºÍÖÎÀí¼°Ì«ºþ¸»ÓªÑø»¯·ÀÖÎÌṩ»ù´¡Êý¾Ý.
¡¡¡¡2 Ñо¿ÇøÓò¼°·½·¨
¡¡¡¡2.1 Ñо¿ÇøÓò¸Å¿ö
¡¡¡¡ÕÆÏÂäº(±±¶Î)Ϊ̫œèÄÏÔ˺ÓÏÂÓεÄÒ»ÌõÌìȻ֧Á÷£¬È«³¤Ô¼3 km£¬ºÓ¶ÎÖ÷ҪλÓÚ½ËÕÊ¡ÒËÐËÊÐÖÜÌúÕòÄÚ£¬Óɱ±ÏòÄÏ×¢ÈëÌ«œèÄÏÔ˺Ó.ºÓÁ÷Á½°¶ÍÁµØÒÔũҵÓõغ;ÓסÓõØÎªÖ÷£¬Ëæ×ÅÇøÓò¾¼ÃµÄ·¢Õ¹ºÍ¾ÓÃñÉú»îˮƽµÄÌá¸ß£¬ÈÕÒæÔö³¤µÄÉú»îÎÛË®ºÍũҵÍËË®¾ùδ¾´¦ÀíÖ±½ÓÅÅÈëºÓÁ÷£¬µ¼ÖºÓÁ÷ÎÛȾÈÕÒæÑÏÖØ.
¡¡¡¡2.2 ²ÉÑùµãÉèÖü°ÑùÆ·²É¼¯
¡¡¡¡²ÉÑùµãµÄ²¼Éè½áºÏºÓÁ÷µÄÌØµã£¬ÌرðÊÇÅ©´å´åÂä·Ö²¼¼°¶Ïͷ亽»»ã´¦£¬´ÓÉÏÓε½ÏÂÓι²Éè13¸ö²ÉÑùµã£¬Ñùµã¾ßÌå²¼ÉèÈçͼ 1Ëùʾ.ÓÚ2014Äê10Ô¶ÔÕÆÏÂäº(±±¶Î)½øÐÐÏÖ³¡¹Û²âÓë²ÉÑù£¬²ÉÓÿھ¶Îª9 cmµÄÖù×´²ÉÑùÆ÷(HYDROBIOS£¬µÂ¹ú)²É¼¯Î´¾ÈŶ¯µÄ³Á»ýÎïÖù×´ÑùÆ·£¬Ã¿¸ö²ÉÑùµã¾ùËæ»ú²É¼¯3¸öÑùÆ·£¬³Á»ýÎïÏÖ³¡ÒÔ5 cm·Ö²ã£¬»ìÔȺóÁ¢¼´×°Èë¾ÛÒÒÏ©×Ô·â´üÖУ¬²¢Í¬Ê±ÔËÓÃÓлú²£Á§²ÉË®Æ÷²É¼¯ÏàÓ¦µãλ¾àÀëË®Ãæ30 cmÉî´¦µÄºÓË®£¬Ò»Í¬·ÅÈëÀ䲨ÏäÖÐ4 ¡æ±£´æ£¬ËÍÍùʵÑéÊÒ´¦Àí.³Á»ýÎïÑùÆ·ËÍÖÁʵÑéÊÒºó²ÉÓÿ׾¶1 cmµÄÌúɸ¶Ôµ×Äà½øÐдÖɸ£¬ÒÔ³ýÈ¥Ö²Îï²ÐÌåºÍ±´ÀàµÈ´ó¿ÅÁ£ÎïÖÊ£¬¶Ôɸ¹ýµÄµ×Äà½øÐгä·Ö»ìÔÈ£¬¾Àä¶³¸ÉÔï»ú(LABCONCO¶³¸É»ú£¬ÃÀ¹ú)¶³¸Éºó£¬Âêè§Ñв§³ä·ÖÑÐÄ¥£¬¹ý100Ŀɸ£¬·ÅÈë²£Á§Æ¿ÖÃÓÚÒõÁ¹¸ÉÔï´¦±¸ÓÃ.²É¼¯µÄÖù×´³Á»ýÎï¾ù·ÖΪ3²ã£¬¼´±í²ã(0¡«5 cm)¡¢Öвã(6¡«10 cm)¡¢µ×²ã(11¡«15 cm).
ͼ1 ²ÉÑùµãλʾÒâ
¡¡¡¡2.3 Àí»¯Ö¸±ê²â¶¨
¡¡¡¡Éϸ²Ë®ÌåÖ¸±ê°üÀ¨×ܵª(TN)¡¢×ÜÁ×(TP)£¬²ÉÑùµãλÖü°Éϸ²Ë®Ì岿·ÖÀí»¯Ö¸±êÈç±í 1Ëùʾ.³Á»ýÎïÖÐÁ×ÐÎ̬·ÖÎö²ÉÓÃÅ·ÖÞ±ê×¼²âÊÔ²âÁ¿×éÖ¯Ìá³öµÄSMT(The St and ards£¬Measurements and Testing Programme)ÐÒéÀ´½øÐгÁ»ýÎïµÄÁ×ÐÎ̬ÌáÈ¡.SMT·¨½«Á×·ÖΪ5ÖÖÐÎ̬£º×ÜÁ×(TP)¡¢ÎÞ»úÁ×(IP)¡¢ÓлúÁ×(OP)¡¢ÇâÑõ»¯ÄÆÌáȡ̬Á×(Fe/AlP)¡¢ÑÎËáÌáȡ̬Á×(CaP)£¬¾ßÌå²½ÖèÈçͼ 2Ëùʾ.Á×ÐÎ̬µÄ²â¶¨²ÉÓÃîâÌ࿹·Ö¹â¹â¶È·¨.ÓлúÖʺ¬Á¿ÒÔ³Á»ýÎï·Ö±ðÔÚ105 ¡æ¼°450 ¡æÏÂׯÉÕËùµÃÉÕʧÁ¿(LOI)±íʾ.
±í1 ²ÉÑùµãÉϸ²Ë®Ì岿·ÖÀí»¯Ö¸±ê
¡¡¡¡2.4 Êý¾Ý·ÖÎö
¡¡¡¡ÊµÑéËùÓÐÊý¾Ý¾ùΪ3´ÎƽÐÐÈ¡µÃµÄƽ¾ùÖµ.²ÉÓÃExcel2013½øÐÐÕûÀí£¬Ê¹ÓÃSPSS 18.0ºÍOrigin 8.0½øÐÐÊý¾Ý·ÖÎöºÍÏà¹ØÍ¼¼þÖÆ×÷.ʹÓÃSNK¼ìÑé½øÐвîÒìÏÔÖøÐÔ·ÖÎö(p<0.05±íʾ²îÒìÏÔÖø£¬p<0.01±íʾ²îÒ켫ÏÔÖø).
¡¡¡¡3 ½á¹ûÓëÌÖÂÛ
¡¡¡¡3.1 ³Á»ýÎï×ÜÁ׺͸÷×é·ÖÁ׵Ĵ¹Ïò·Ö²¼ÌØÕ÷
¡¡¡¡3.1.1 ¸Æ½áºÏ̬Á×(CaP)
¡¡¡¡CaPÖ÷ÒªÊÇÓëCa½áºÏµÄÁ×£¬ÊdzÁ»ýÎïÖн϶èÐÔµÄÁ××é·Ö£¬Ò²ÊÇÒ»ÖÖÄÑÈÜÓÚË®µÄ»¯ºÏÎËü¶ÔºþË®¸´Á×¹±Ï×½ÏС£¬³£±»ÈÏΪÊÇÉúÎïÄÑÀûÓÃÐÔÁ×.CaPÖ÷Òª°üÀ¨×ÔÉú³ÉÒò»òÉúÎï³ÉÒòµÄ×ÔÉúÁ×»ÒʯÁ×£¬ÒÔ¼°Óë×ÔÉú̼Ëá¸Æ¹²³Áµí»òÍâÔ´ÊäÈëµÄ¸÷ÖÖÄÑÈÜÐÔµÄÁ×Ëá¸Æ¿óÎÈçôÇ»ùÁ×»Òʯ¡¢¹ýÁ×Ëá¸ÆµÈ.ÕâЩ¿óÎïÔÚ³Á»ýÎïÖÐÎȶ¨ÐԺܸߣ¬Í¨³£±»ÈÏΪÊÇÉúÎïÄÑÀûÓÃÁ×£¬½ÏÄÑÓë»îÐÔÁ׳ɷֽøÐÐÐÎ̬ת»¯£¬Òò´Ë£¬Ò²²»Ò×ÔÚ³Á»ýÆÊÃæÖнøÐÐÉÏϲã¼äµÄÇ¨ÒÆ£¬ÊdzÁ»ýÎïÔçÆÚ³ÉÑÒ¹ý³ÌµÄ×îÖÕ²úÎïÖ®Ò».ÔÚÈËΪÁ×ÊäÈëÁ¿½Ï¸ßµÄºþÇø£¬³Á»ýÎïÖÐ CaP µÄº¬Á¿Ó¦¸Ã½Ï¸ß.
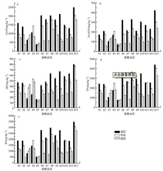
¡¡¡¡´Óͼ 3aÖпÉÒÔ¿´³ö£¬¸÷²ÉÑùµã³Á»ýÎïÖеÄCa Pº¬Á¿ÔÚ´¹Ö±ÆÊÃæÉÏ×ÜÌå³ÊÏÖϽµÇ÷ÊÆ.±í²ãº¬Á¿×î´óÖµ³öÏÖÔÚS13ºÅ²ÉÑùµã´¦£¬Æ½¾ùº¬Á¿´ïµ½2484.84 mg ¡¤ kg-1;µ×²ã(10¡«15 cm´¦)×îСֵ³öÏÖÔÚS2ºÅ²ÉÑù´¦£¬Æ½¾ùº¬Á¿´ïµ½392.73 mg ¡¤ kg-1;ÔÚS10ºÅ²ÉÑùµã´¦º¬Á¿½µ·ù×î´ó£¬±í²ãCaPƽ¾ùº¬Á¿´ïµ½2102.40 mg ¡¤ kg-1£¬µ×²ã(10¡«15 cm´¦)´ïµ½581.73 mg ¡¤ kg-1£¬Ï½µ·ù¶È´ïµ½72.33%.ÔÚ²ÉÑùµãS8ºÍS13µÄ³Á»ýÎïÖУ¬CaPµÄÏà¶Ôº¬Á¿×î¸ß£¬·Ö±ðÕ¼²â¶¨TPµÄ58.91%ºÍ53.91%£¬Ò²ÊdzÁ»ýÎïÖÐIPµÄÖ÷Òª×é³É²¿·Ö(70.87%ºÍ67.87%).±í²ã³Á»ýÎïCaPº¬Á¿¸ß¿ÉÄÜÊÇÓÉÓÚºÓÁ÷Á½°¶ÒÔ¾ÓÃñ¾Û¾ÓÇøºÍÅ©ÌïΪÖ÷£¬ºÓË®´øÈë´óÁ¿µÄũҵ¹à¸ÈÓÃË®ºÍÉú»îÎÛË®£¬Å©Òµ¹à¸ÈÓÃË®Öк¬ÓдóÁ¿µÄÁ׷ʺÍδ±»ÀûÓõÄũҩ£¬¼ÓÉ϶¯Ö²Îï²Ðº¡Ëæ½µÓê¾¶Á÷´øÈëºÓÁ÷£¬Ê¹µÃºÓÁ÷±í²ã³Á»ýÎïCaPº¬Á¿Ïà¶Ô½Ï¸ß.Ëæ×ųÁ»ýÉî¶ÈÔö¼Ó£¬CaPº¬Á¿ÔÚ´¹Ö±ÆÊÃæÉϱíÏÖ³öϽµµÄÇ÷ÊÆ£¬ËµÃ÷ÕÆÏÂäº(±±¶Î)¶ÌÔݵijÁ»ýÀúÊ·ÄÚ£¬¸ÆÁ×µÄת»¯²»ÊdzÁ»ýÁ×ÔçÆÚ³ÉÑÒ×÷ÓõÄÓÅÊÆ¹ý³Ì.´ËÍ⣬ÕâÒ²ÓëÒÑÓеÄһЩÑо¿½áÂÛ²¢²»Ïàͬ.ÓÉÓÚ¸÷Ñо¿²ÉÓõÄÊDz»Í¬µÄ·Ö¼¶·ÖÀë·½·¨£¬µÃµ½µÄÁ×ÐÎ̬²¢²»Ò»Ö£¬µ¼Ö½áÂÛ²»Í¬Ò²ÊÇ¿ÉÄܵÄ.´Óͼ 4¿ÉÒÔ¿´³ö£¬³Á»ýÎïÖÐCaPµÄƽ¾ùº¬Á¿Õ¼TPµÄ±ÈÀý´ïµ½57.13%£¬ËµÃ÷CaP¹¹³ÉÁ˳Á»ýÎïTPµÄÖ÷Òª²¿·Ö£¬Í¬Ê±ËµÃ÷CaPÊdzÁ»ýÎïÖÐÖ÷ÒªµÄÎÞ»úÁ×ÐÎ̬.
ͼ3 ¸÷²ÉÑùµãÁ×ÐÎ̬´¹Ïò·Ö²¼(a.CaP£¬b.Fe/AlP£¬c.OP£¬d.TP£¬e.IP)
¡¡¡¡3.1.2 ÌúÂÁ½áºÏ̬Á×(Fe/AlP)
¡¡¡¡ÌúÂÁ½áºÏ̬Á×(Fe/AlP)Ö÷ÒªÊÇָͨ¹ýÎïÀíºÍ»¯Ñ§×÷ÓÃÎü¸½ÔÚÌú¡¢ÂÁÑõ»¯ÎïºÍÇâÑõ»¯ÎコÌå±íÃæÉϵÄÁ×£¬ÉîÊܳÁ»ýÎïÁ£¶È¼°pH¡¢Ñõ»¯»¹ÔµçλµÈ»·¾³Òò×ÓµÄÓ°Ïì.´ó¶àÊýÑо¿ÈÏΪ£¬ÌúÂÁ½áºÏ̬Á×µÄÇ¨ÒÆ×ª»¯¹ý³ÌÊdzÁ»ýÎïÏòÉϸ²Ë®ÌåÊÍ·ÅÁ×µÄÖ÷Òª»úÖÆÖ®Ò»£¬Òò´Ë£¬±»ÈÏΪÊdzÁ»ýÎïÖÐÖ÷Òª»îÐÔÁ××é·Ö£¬¶Ô³Á»ýÎïË®½çÃæÁ×µÄÑ»·Æðµ½Ö÷Òª×÷ÓÃ.ͬʱ£¬Fe/AlPÔÚ¸÷ÖÖÁ×ÐÎ̬ÖÐÕ¼ÓÐÖØÒªµÄµØÎ»£¬Õⲿ·ÖÁ×µÄÀ´Ô´ÓëÈËÀà»î¶¯Óйأ¬Ö÷ÒªÀ´Ô´ÓÚÉú»îÎÛË®ºÍ¹¤Òµ·ÏË®£¬ËùÒÔFe/AlP¿ÉÒÔ·´Ó³³öÇøÓòÁ×ÎÛȾµÄÇé¿ö.
¡¡¡¡´Óͼ 3bÖпÉÒÔ¿´³ö£¬¸÷²ÉÑùµã³Á»ýÎïÖеÄFe/AlPº¬Á¿ÔÚ´¹Ö±ÆÊÃæÉϴӵײ㵽±í²ã×ÜÌå³ÊÏÖÔö¼ÓÇ÷ÊÆ£¬Fe/AlPµÄÏà¶Ôº¬Á¿ÔÚ²»Í¬²ÉÑùµã´æÔÚÃ÷ÏÔ²îÒì.ÆäÖУ¬ÔÚS6ºÅ²ÉÑùµã´¦º¬Á¿½µ·ù×î´ó£¬±í²ãFe/AlPƽ¾ùº¬Á¿´ïµ½320.55 mg ¡¤ kg-1£¬µ×²ã(10¡«15cm)´ïµ½83.15 mg ¡¤ kg-1£¬Ï½µ·ù¶È´ïµ½74.06%.ÔÚS5ºÅ²ÉÑùµã´¦Fe/AlPƽ¾ùº¬Á¿³öÏÖÄæÔö³¤£¬Fe/AlPƽ¾ùº¬Á¿Óɱí²ãµÄ72.27 mg ¡¤ kg-1Ôö¼Óµ½µ×²ãµÄ78.45mg ¡¤ kg-1£¬Ôö³¤·ù¶È½öµ½8.55%.ÔÚ²ÉÑùµãS8ºÍS13µÄ³Á»ýÎïÖУ¬Fe/AlPµÄÏà¶Ôº¬Á¿½Ï¸ß£¬·Ö±ðÕ¼²â¶¨TPµÄ8.4%ºÍ8.19%.¾¿ÆäÔÒò£¬ÓÉÓÚÌú´æÔÚÑõ»¯»¹Ôƽºâ£¬ÈÝÒ×Êܵ½Ñõ»¯»¹Ôµçλ±ä»¯µÄÓ°Ïì.Ëæ×ųÁ»ýÉî¶ÈµÄÔö¼Ó£¬ÓлúÖʽµ½âÏûºÄÈܽâÑõ£¬µ¼ÖÂÈܽâÑõËæÉî¶ÈÔö¼Ó¶ø²»¶Ï½µµÍ£¬Ê¹³Á»ý»·¾³ÏàÓ¦±äµÃ»¹Ô£¬³Á»ýÎﻹÔÄÜÁ¦Ò²ËæÖ®´ó´óÔöÇ¿£¬Ñõ»¯»¹Ôµçλ½µµÍ£¬³Á»ýÎïÖеÄÈý¼ÛÌúËæÖ®±»»¹ÔΪ¶þ¼ÛÌú£¬½ºÌå×´µÄ¡¼Fe(OH)3¡½x±ä³É¿ÉÈÜÐÔµÄFe(OH)2£¬Îü¸½ÔÚÉÏÃæµÄÁ×Ëæ×Ŷþ¼ÛÌúµÄÈܳö¶øÊͷŵ½¼ä϶ˮÖУ¬È»ºóÒÀ¿¿Å¨¶ÈÌݶÈÏòÉϸ²Ë®ÖÐÇ¨ÒÆÊÍ·Å£¬ÔÚÑõ»¯»¹Ôµçλ½Ï¸ßµÄ±í²ã³Á»ýÎïÖÐÐγɿóÎï¶ø³Áµí£¬±í²ã³Á»ýÎï¶ÔÁ×Ëá¸ùÇ¨ÒÆµÄÆÁ±ÎЧӦÔì³ÉÔÚ³Á»ýÎï±í²ãµÄ¸»¼¯.µ×ÄàÖдæÔÚµÄÑáÑõϸ¾úÒ²»á´Ù½øÕâÒ»¹ý³ÌµÄ½øÐÐ.ÁíÍâ£¬Ëæ×ųÁ»ýÉî¶ÈµÄÔö¼Ó£¬·Ç¾§¿óÎïÖð²½±äµÃÓÐÐò»¯£¬ÌúµÄÑõ»¯ÎïºÍÇâÑõ»¯ÎïÓëÁ×½áºÏÄÜÁ¦ËæÖ®Öð½¥¼õÈõ£¬ÕâÒ²¿ÉÄÜÊÇÌúÁ׺¬Á¿ËæÉî¶ÈÔö¼Ó¶ø½µµÍµÄÔÒò.³Á»ýÎïÖÐÂÁÁ׺¬Á¿Í¬ÑùËæ×ųÁ»ýÉî¶ÈµÄÔö¼Ó¶ø³ÊÏÖ½µµÍµÄÇ÷ÊÆ£¬¿ÉÄÜÊܵ½Èç³Á»ýÎïÁ£¶ÈºÍ³Á»ýÎïÕ³¶È£¬ÒÔ¼°ÆäÐγÉʱ¼äºÍ³Á»ýÎï³ÉÒòµÈ»·¾³Òò×ÓµÄÓ°Ï죬µ«¹ØÓÚÆä»úÀíÒ»²¿·ÖÈËÈÏΪÕâ¿ÉÄÜÓëÆäÑõ»¯ÎïÔÚ³Á»ýÎïÖеÄÑ»·Ïà¹Ø£¬Ëæ×ÅÉî¶ÈµÄÔö¼Ó£¬³Á»ý»·¾³ÓÉÑõ»¯×ªÏò»¹Ô£¬Fe/AlPËæ×ÅÆäÑõ»¯Îï±»»¹ÔÈÜ½â¶øÖð½¥ÊÍ·Å»òÏòÆäËüÐÎ̬Á×ת»¯;ÁíÒ»²¿·ÖÈËÔòÈÏΪFe/AlP¶Ô³Á»ýÎïÖÐÁ×µÄÎü¸½ÓëÊÍ·ÅËäÈ»ÓкܶàÏàËÆÖ®´¦£¬µ«ÂÁÇâÑõ»¯Îï²»ÊÜÑõ»¯»¹ÔµçλµÄÓ°Ï죬¶øÇÒ¶ÔË®ÌåºÍ³Á»ýÎïÖеÄÁ×ÊÇÓÀ¾ÃÐÔÎü¸½.³Á»ýÎïFe/AlP µÄ·Ö²¼¹æÂɼ°Ç¨ÒÆ»úÖÆ»¹Ðè½øÒ»²½ÉîÈëÑо¿.
¡¡¡¡3.1.3 ÓлúÁ×(OP)
¡¡¡¡ÓлúÁ×(OP)°üÀ¨ÓɽԴÐÔÅÅ·ÅÎïÖÊ×é³ÉµÄÄѽµ½âÐÔÓлúÁײ¿·ÖºÍÓÉËÀÍöµÄË®ÉúÉúÎïʬÌå×é³ÉµÄ¿É½µ½âÐÔÓлúÁײ¿·Ö.ÆäÖУ¬¿É½µ½âÓлúÁײ¿·Ö¿ÉÒÔÔÚÔçÆÚ³ÉÑÒ¹ý³ÌÖÐËæÓлúÖʵĽµ½â¶øÊÍ·Å£¬ÉõÖÁÏòÆäËü½áºÏ̬Á×ת»¯.ÓлúÁ××÷Ϊºþ²´³Á»ýÎïÖÐÖØÒªµÄ×é³É²¿·Ö£¬ÊDz»ÈݺöÊÓµÄDZÔÚÉúÎïÓÐЧÁ×Ô´£¬¶Ôºþ²´¸»ÓªÑø»¯¾ßÓÐÖØÒª×÷ÓÃ.ÓлúÁ×ÔÚ³Á»ýÎïÖеĺ¬Á¿ÊÇÓɶàÖÖÒòËØ¿ØÖƵģ¬ÈçÊäÈëÁ¿¡¢³Á»ýÌØÐÔ¡¢ÔçÆÚ³ÉÑÒ×÷Óü°ÉúÎï×÷Óõȣ¬±»ÈÏΪ²¿·Ö¿É±»ÉúÎïËùÀûÓã¬ÓëÈËÀà»î¶¯Óйأ¬Ö÷ÒªÀ´Ô´ÓÚÃæÔ´ÎÛȾ.
¡¡¡¡ÓÉͼ 3c¿ÉÒÔ¿´µ½£¬¸÷²ÉÑùµãOPº¬Á¿(³ý S3¡¢S5Íâ)ËæÉî¶ÈÔö¼Ó¶øÖð½¥¼õС£¬ÆäÖУ¬ÔÚS9ºÅ²ÉÑùµã´¦º¬Á¿½µ·ù×î´ó£¬±í²ãOPƽ¾ùº¬Á¿´ïµ½537.14 mg ¡¤ kg-1£¬µ×²ã(10¡«15 cm)´ïµ½140.01 mg ¡¤ kg-1£¬Ï½µ·ù¶È´ïµ½73.93%.Ͻµ·ù¶È×îС³öÏÖÔÚS5ºÅ²ÉÑùµã´¦£¬OPƽ¾ùº¬Á¿Îª152.26¡«143.69 mg ¡¤ kg-1£¬Ï½µ·ù¶È½öµ½5.63%.±í²ãOPƽ¾ùº¬Á¿Ïà¶Ô½Ï¸ß¿ÉÄÜÓëºÓÁ÷Á½°¶³¤ÆÚ²»¶ÏÅŷŵÄÉú»îÎÛË®ºÍũҵÍËË®£¬ÒÔ¼°µØ±í¾¶Á÷½«×÷Îï½Õ¸Ñ¡¢ÓлúÉú»îÀ¬»ø´øÈëºÓÁ÷£¬Ê¹´óÁ¿ÓлúÖʳÁ½µÔÚ³Á»ýÎï±í²ã·¢Éú½µ½âÓйأ¬Ôì³É±í²ãÓлúÁ׺¬Á¿Æ«¸ß.´ËÍ⣬OPƽ¾ùº¬Á¿Ëæ×ųÁ»ýÉî¶ÈÔö¼Ó¶ø¼õÉÙ¿ÉÄÜÊÇOP¼º¾²¿·Ö³öÏÖ·Ö½âÊÍ·Å£¬ÓÐÒ»²¿·ÖËæ×ųÁ»ýÉî¶ÈµÄÔö¼Ó£¬³Á»ýÎïÖÐÈܽâÑõº¬Á¿ËæÖ®½µµÍ£¬ÑáÑõ³Ì¶ÈÔ½¸ß£¬¶øÑáÑõÌõ¼þ¼Ó¾çÁËÓлúÖʵĿó»¯×÷Óã¬OP½øÈëÄà-Ë®½çÃæºóת»¯ÎªÆäËûÐÎ̬£¬ºÜ¿ÉÄÜ·Ö½â³ÉΪ¿ÉÈÜÐÔµÄС·Ö×ÓÓлúÁ×»òÈܽâÐÔÕýÁ×ËáÑΣ¬Èܽâ×é·Ö¾¹ý¼ä϶ˮ×Ô϶øÉÏÇ¨ÒÆÀ©É¢£¬×ª»¯ÎªÆäËü¿ÉÉúÎïÀûÓõÄÁ×£¬´Ó¶øÓ°ÏìÉϸ²Ë®µÄÖÊÁ¿.
¡¡¡¡3.1.4 ×ÜÁ×(TP)ºÍÎÞ»úÁ×(IP)
¡¡¡¡ÕÆÏÂäº(±±¶Î)³Á»ýÎïÖÐTPº¬Á¿¼°IPº¬Á¿ÔÚÆÊÃæÉϵı仯(³ýS3¡¢S4¡¢S5ºÅ²ÉÑùµãÍâ)×ÜÌå±íÏÖ³ö×Եײ㵽±í²ãÖð²½Ôö¼ÓµÄÇ÷ÊÆ(Èçͼ 3dºÍ3eËùʾ)£¬±íÏÖ³ö¡°±í²ã¸»¼¯¡±ÏÖÏó.ÔÚ¸÷²ÉÑùµã£¬³Á»ýÎïÖÐTPº¬Á¿½Ï¸ß£¬Æ½¾ùº¬Á¿´ïµ½2050.13 mg ¡¤ kg-1;±í²ã³Á»ýÎïÖÐTPº¬Á¿×î´óÖµ³öÏÖÔÚS13ºÅ²ÉÑùµã´¦£¬´ïµ½4379.31 mg ¡¤ kg-1£¬µ«½µ·ù×î´óµÄ³öÏÖÔÚS7ºÅ²ÉÑùµã´¦£¬±í²ãTPº¬Á¿ÊdzÁ»ýÎïµ×²ã(10¡«15 cm)µÄ3.18±¶£¬½µ·ù´ïµ½68.55%.
¡¡¡¡ÎÞ»úÁ×(IP)ÊǺþ²´Éú̬ϵͳÖзdz£ÖØÒªµÄÁ×ÐÎ̬.³Á»ýÎïÖÐIPƽ¾ùº¬Á¿´ïµ½1625.30 mg ¡¤ kg-1;±í²ã³Á»ýÎïÖÐIPƽ¾ùº¬Á¿×î´óÖµºÍ×îСֵ·Ö±ð³öÏÖÔÚS13ºÅºÍS5ºÅ²ÉÑùµã´¦£¬·Ö±ðΪ3484.57 mg ¡¤ kg-1ºÍ545.37 mg ¡¤ kg-1£¬º¬Á¿½µ·ù×î´óµÄ³öÏÖÔÚS2ºÅ²ÉÑùµã´¦£¬±í²ãTPº¬Á¿ÊdzÁ»ýÎïµ×²ã(10¡«15 cm)µÄ3.57±¶£¬½µ·ù´ïµ½71.96%.´Óͼ 3d¡¢3eºÍͼ 4ÖпÉÒԵóö£¬³Á»ýÎïTP¡¢IPº¬Á¿´¹Ïò±ä»¯Ç÷ÊÆ»ù±¾ÓëCaPÒ»Ö£¬¶øÇÒCaPÓÖÔÚTP¡¢IPÖбÈÀý¾ù´ïµ½×î´ó£¬ËµÃ÷³Á»ýÎïÖÐTPº¬Á¿Ö÷ÒªÊÜÆäÖÐIPº¬Á¿Ó°Ï죬¶øIPº¬Á¿Ö÷ÒªÊÜÆäÖÐCaPº¬Á¿Ó°Ïì.³Á»ýÎïÖÐTPº¬Á¿Ëù±íÏÖ³öµÄ¡°±í²ã¸»¼¯¡±Ò»Ö֯ձ鴿ÔÚµÄÏÖÏó£¬Ò»Ð©ÈËÈÏΪÕâÖ÷ÒªÊÇÍâÔ´ÎÛȾÑÏÖØ¶øµ¼Ö³Á»ýÎï±í²ãÁ׺¬Á¿µÄÔö¼Ó: »¹ÓÐһЩÈËÈÏΪÕâ¿ÉÄÜÊÇÓÉÓÚ³Á»ýÎïÖÐÁ׵ĵØÇòÉúÎﻯѧ×÷Óöøµ¼ÖÂÆäÏò±í²ãÇ¨ÒÆËùÖÂÔ½´ó.TPº¬Á¿ÔÚ´¹Ö±¾àÀëÉϱíÏÖ³öÖð½¥½µµÍµÄÔÒò¿ÉÄÜÊǺÓÁ÷Á÷ËÙ»ºÂý£¬µÍÆÜ¶¯Îï½ÏÉÙ£¬ºÓÁ÷ÖÐË®ÉúÖ²Îï½ÏÉÙ£¬¸ùϵ¶Ô³Á»ýÎïÖÐTPº¬Á¿Ó°Ïì½ÏС;´ËÍ⣬Êܵ½Éú»îÎÛË®ÅÅ·ÅÁ¿µÄÔö¼ÓºÍÅ©ÒµÃæÔ´ÎÛȾ¼Ó´óµÄÓ°Ï죬´óÁ¿µÄÍâÔ´ÓªÑøÎïÖʲ»Äܹ»¼°Ê±À©É¢±»Ðü¸¡ÎïÖÊÎü¸½¾ÍÖ±½Ó³ÁµíÏÂÀ´.
¡¡¡¡3.2 ÓлúÖʺ¬Á¿Óë¸÷ÐÎ̬Á×µÄÏà¹Ø¹ØÏµ
¡¡¡¡³Á»ýÎïÖÐÓлúÖÊÊǼ«ÎªÖØÒªµÄ½ºÌåÖ®Ò»£¬ÊÇÓëÖØ½ðÊô¼°ÆäÓлúÖÊÎÛȾÎï·¢ÉúÎü¸½¡¢·ÖÅäºÍÂçºÏµÈ×÷ÓõĻîÐÔÎïÖÊ£¬Í¬Ê±Ò²ÊÇ·´Ó³³Á»ýÎïÓлúÓªÑø³Ì¶ÈµÄÖØÒª±êÖ¾.ÕÆÏÂäº(±±¶Î)¸÷²ÉÑùµãλ³Á»ýÎïÖд¹ÏòÆÊÃæÉÏÓлúÖʺ¬Á¿µÄ±ä»¯Èçͼ 5Ëùʾ.´Óͼ 5¿ÉÒÔ¿´³ö£¬¸÷²ÉÑùµã³Á»ýÎïÖÐÓлúÖÊµÄÆ½¾ùº¬Á¿Î»ÓÚ¾ù7.25%¡«9.46%Ö®¼ä£¬±È¶Ô³¤ÊÙºþ³Á»ýÎïÓлúÖʺ¬Á¿Ñо¿½á¹û¸ß³ö3¡«4±¶£¬Óë¶ÔÄÏËĺþ³Á»ýÎïÓлúÖʺ¬Á¿Ñо¿½á¹ûÏàËÆ£¬Óë¶ÔÌ«ºþÎ÷°¶ºþ±õ´ø³Á»ýÎïÓлúÖʺ¬Á¿Ñо¿½á¹ûÏàËÆµ«±ä»¯·¶Î§Ïà±È½ÏС.ÔÚÏÖ³¡²ÉÑùʱ·¢ÏÖ¸÷²ÉÑùµãºÓÁ÷¾ùÓÙ»ýÑÏÖØ£¬ºÚ³ôµ×ÄàÓÙ»ý×îÑÏÖØµÄ¿É´ï1 mÒÔÉÏ£¬³Á»ýÎïÖÐÓлúÖʵÄÖØÒªÀ´Ô´ÓпÉÄÜÊǺÓÁ÷Á½°¶µÄÉú»îÎÛË®¡¢Å©ÒµÍËË®ºÍ¸÷ÖÖÉúÎï²ÐÌåµÄ·Ö½â.³ýS3¡¢S5¡¢S10²ÉÑùµãÍ⣬ÆäÓà²ÉÑùµã³Á»ýÎïÖÐÓлúÖʺ¬Á¿¾ùËæ³Á»ýÉî¶ÈµÄÔö¼Ó¶ø½µµÍ£¬ÆäÖУ¬½µ·ù×î´óµÄ³öÏÖÔÚS2ºÅ²ÉÑùµã´¦£¬Óɱí²ãµÄ8.05%½µµ½µ×²ãµÄ5.14%;´ËÍ⣬±í²ãÓлúÖʺ¬Á¿×î´óֵͬÑù³öÏÖÔÚS9ºÅ²ÉÑùµã´¦£¬±í²ã×îСֵ³öÏÖÔÚS3ºÅ²ÉÑùµã´¦£¬ÓлúÖʺ¬Á¿½ö´ï6.72%.Óɱí 2¿ÉÖª£¬³Á»ýÎïÖÐÓлúÖÊÓë¸÷ÐÎ̬Á×µÄÏà¹ØÐÔ²¢²»Ò»ÖÂ.³Á»ýÎïÖÐÓлúÖÊÔÚ¿Õ¼ä·Ö²¼ÉÏÓëTPÓëIPº¬Á¿¾ù¾ßÓÐÏÔÖøµÄÏà¹ØÐÔ(p<0.01)£¬Ïà¹ØÏµÊý·Ö±ðΪ0.94ºÍ0.92£¬ËµÃ÷³Á»ýÎïÖÐLQIµÄ¿ó»¯·Ö½â¹ý³ÌÖвúÉúµÄÓлúËáÓëÆäËûµÄòüºÏ¼Á½«²¿·ÖÎÞ»ú¹Ì¶¨Ì¬Á×ÊÍ·ÅΪ¿ÉÈÜ̬µÄÁ×£¬ÓлúÖÊÖи»ÀïËá¾ÛÒõÀë×ÓÓëÁ×ËáÑÎÒõÀë×Ó²úÉúÎü¸½¾ºÕù£¬Í¨¹ýרÐÔÎü¸½½øÈë¿óÎïÀë×Ó£¬ÓÉ´Ë´Ù½ø³Á»ýÎïÖÐÁ×µÄÊÍ·Å.´ËÍ⣬³Á»ýÎïÖÐÓлúÖʺ¬Á¿ÓëCaPÒ²ÏÔÖøÏà¹Ø(p<0.05£¬n=13)£¬ÓëOPºÍFe/AlPµÄÏà¹ØÐÔ²»ÏÔÖø£¬±íÃ÷³Á»ýÎïÖÐTPº¬Á¿Ö÷ÒªÀ´×ÔÓÚCaP£¬Æä´ÎÊÇFe/AlPºÍOP.
ͼ5 ¸÷²ÉÑùµã´¹Ö±ÆÊÃæÉÏÓлúÖʺ¬Á¿µÄ±ä»¯
¡¡¡¡3.3 ³Á»ýÎï¸÷ÐÎ̬Á×Ïà¹ØÐÔ·ÖÎö
¡¡¡¡³Á»ýÎïÖÐÁ×µÄÖÊÁ¿±ÈÊܳÁ»ýÎïÐÔÖÊ¡¢Ë®Á¦Ìõ¼þ¡¢ÉúÎï×÷Óü°ÈËÀà¸ÉÈŵȶàÖÖÒòËØµÄÓ°Ïì.Á˽â³Á»ýÎïÖи÷ÐÎ̬Á×Ö®¼äµÄÏà¹Ø¹ØÏµ¼°¸÷ÐÎ̬Á×ÓëÎïÀí»¯Ñ§ÒòËØÖ®¼äµÄ¹ØÏµ£¬ÓÐÀûÓÚÈÏʶÁ×ÐÎ̬·Ö²¼ÌØÕ÷£¬Äܹ»Îª×ܽá³Á»ýÎïÖÐÁ×Ç¨ÒÆ×ª»¯¹æÂÉÌṩÒÀ¾Ý£¬´Ó¶ø¸üºÃµØÎªÈëºþºÓÁ÷ÖÎÀí¼°¹ÜÀí·þÎñ£¬±¾ÎÄÖи÷ÐÎ̬Á׺¬Á¿Ö®¼äµÄÏà¹Ø¹ØÏµÈç±í 2Ëùʾ.
¡¡¡¡TPºÍIP¡¢CaP¾ßÓÐÏÔÖøµÄÏà¹ØÐÔ(p<0.01)£¬Ïà¹ØÏµÊý¾ù´ïµ½0.98ÒÔÉÏ£¬ÓëOPÒ²¾ßÓÐÏÔÖøµÄÏà¹ØÐÔ(r=0.88£¬p<0.05£¬n=13).TPÓëIPÖ®¼ä´æÔÚÏÔÖøµÄÏà¹ØÐÔ(r=0.99£¬p<0.01£¬ n=13)£¬ËµÃ÷³Á»ýÎïÖÐTPµÄº¬Á¿Ö÷ÒªÊÇÓÉIP¿ØÖÆ;¶øTPºÍCaP¡¢IPºÍCaPº¬Á¿Í¬Ñù¾ù³ÊÏÔÖøµÄÏà¹ØÐÔ(r=0.98£¬r=0.99 p<0.01£¬n=13)£¬Óɴ˽øÒ»²½±íÃ÷³Á»ýÎïÖÐ TP º¬Á¿µÄÔö¼Ó£¬Ö÷ÒªÀ´×ÔCaP£¬Æä´ÎÊÇOP£¬Ò²ËµÃ÷CaP¹¹³ÉÁËIPµÄÖ÷Òª²¿·Ö£¬Í¬ÑùÒ²Ó³Ö¤Á˽üÄêÀ´ºÓÁ÷Á½°¶Å©Òµ·ÏË®ºÍÉú»îÎÛË®ÅÅ·ÅÁ¿ÈÕÒæÔö¼ÓµÄÏÖ×´£¬Ê¹µÃ²ÉÑùÇøÓò¸»ÓªÑø»¯ÏÖ×´²»¶Ï¼Ó¾ç£¬ºÓÁ÷Ë®ÌåÖв»¶ÏÔö¼ÓµÄÁ×Ïò³Á»ýÎïÇ¨ÒÆ£¬Ôì³É³Á»ýÎïÖÐÁ׵IJ»¶ÏÔö¼Ó²¢ÔÚ³Á»ýÎïÖгÁµíÏÂÀ´.ÔÚ¸÷ÐÎ̬Á×ÖУ¬OPÓëFe/AlP¡¢CaP¾ù³ÊÏÔÖøµÄÕýÏà¹Ø¹ØÏµ(Ïà¹ØÏµÊý·Ö±ðΪ0.80¡¢0.88£¬p<0.01£¬n=13)£¬±íÃ÷³Á»ýÎïÖÐOPº¬Á¿¶ÔFe/AlP¡¢CaPµÄº¬Á¿¾ùÓÐÓ°Ï죬ÓëÆä²¿·Ö¿É±»ÉúÎïÀûÓõÄÌØÕ÷½ÏΪ·ûºÏ£¬µ«´ÓʵÑé½á¹û¿´£¬¶ÔCaPµÄÓ°ÏìÒªÉÔ´óһЩ.CaPÓëFe/AlPÖ®¼äÒ²´æÔÚÏÔÖøµÄÏà¹ØÐÔ(r=0.95£¬ p<0.01£¬n=13)£¬ËµÃ÷Fe/AlPµÄ»¹ÔÊͷŶÔCaPµÄÐγɣ¬ÌرðÊǶÔ×ÔÉúÁ×»ÒʯÁ×ÐγɾßÓÐÒ»¶¨µÄÓ°Ïì.
¡¡¡¡4 ½áÂÛ
¡¡¡¡1)ÔÚ´¹Ïò·Ö²¼ÉÏ£¬¸÷ÐÎ̬Á×¶¼ÓÐÒ»¶¨µÄ±ä»¯¹æÂÉ£¬¸÷²ÉÑùµã³Á»ýÎïÖеĸ÷ÐÎ̬Á׺¬Á¿ÔÚ´¹Ö±ÆÊÃæÉÏ×ÜÌå¾ù³ÊÏÖϽµÇ÷ÊÆ.TPƽ¾ùº¬Á¿µÄ±ä»¯·¶Î§Îª659.33¡«4379.31 mg ¡¤ kg-1;IPÊǸ÷²ÉÑùµã³Á»ýÎïÖÐÁ×µÄÖ÷Òª³É·Ö£¬Õ¼TPµÄ66.59%¡«88.25%.³Á»ýÎïÖÐTPµÄº¬Á¿Ö÷ÒªÊÇÓÉIP¿ØÖƵÄ.CaPÕ¼TPµÄ44.17%¡«71.47%£¬Õ¼IPµÄ62.17%¡«83.70%£¬Êǹ¹³ÉIPµÄÖ÷Òª²¿·Ö.ͳ¼ÆÊý¾Ý±íÃ÷£¬ÔÚ²»Í¬²ÉÑùµã룬¸÷ÐÎ̬Á׺¬Á¿ÔÚ´¹Ïò·Ö²¼ÉϲîÒìÐÔ²»Í¬.
¡¡¡¡2)³Á»ýÎïÖÐÓлúÖʺ¬Á¿·Ö²¼¼°ÆäÓë¸÷ÐÎ̬Á×µÄÏà¹ØÐÔ²¢²»Ò»ÖÂ.³Á»ýÎïÖÐÓлúÖÊ(LQI)ƽ¾ùº¬Á¿Îª7.25%¡«9.46%;ÔÚ¿Õ¼ä·Ö²¼ÉÏÓëTPÓëIPº¬Á¿¾ù´ïµ½ÏÔÖøµÄÏà¹ØÐÔ£¬ËµÃ÷ÓлúÖʵĿ󻯷ֽâ¿É´Ù½ø³Á»ýÎïÖÐIPµÄÊÍ·Å.
¡¡¡¡3)³Á»ýÎïÑùÆ·ÖÐ×ÜÁס¢¸÷ÐÎ̬Á׺¬Á¿Ö®¼äµÄÏà¹Ø¹ØÏµÏÔʾ£¬IP¡¢CaP¡¢OPÓëTP¾ù¾ßÓÐÏÔÖøµÄÏà¹Ø¹ØÏµ£¬±íÃ÷³Á»ýÎïÖÐ TP º¬Á¿µÄÔö¼Ó£¬Ö÷ÒªÀ´×ÔCaP£¬Æä´ÎÊÇOP£¬CaP¹¹³ÉÁËIPµÄÖ÷Òª²¿·Ö;OPÓëFe/AlP¡¢CaPÒ²¾ßÓÐÏÔÖøµÄÕýÏà¹Ø¹ØÏµ±íÃ÷OPº¬Á¿¶ÔFe/AlP¡¢CaPµÄº¬Á¿¾ùÓÐÓ°Ï죬CaPÓëFe/AlPÖ®¼ä´æÔÚÏÔÖøµÄÏà¹ØÐÔ˵Ã÷Fe/AlPµÄ»¹ÔÊͷŶÔCaPµÄÐγɾßÓÐÒ»¶¨µÄÓ°Ïì.














