絮凝(凝聚、絮凝)是胶体化学的重要原理之一,它被应用于水质净化成为重要单元操作之一.通过絮凝可以使水中细小的悬浮颗粒凝并成大的絮体,然后从水中沉降分离,因此絮凝作用的对象主要是水中由不溶性物质形成的憎液溶胶及悬浮颗粒,试图直接用絮凝法去除水中溶解性杂质或微量有机物的做法基本是无效的.在某些情况下,絮凝作用所形成的絮体会将上述杂质吸附于其上发生共沉淀,这可以看作是一种协同效应,但此协同作用所产生的净化效果是很有限的.
现今世界上各类工业企业仍然向环境排放大量的重金属离子,如镉、汞、铅、砷、铬、铜、锌、铊、镍、铍等,由于这些重金属不能被微生物降解而成为持久性污染物,极大地危害着生态环境和人民的身体健康,例如历史上国外曾发生的水俣病和痛痛病、国内近年来频发的血铅病等皆由重金属排放所致.此外重金属是宝贵的资源,如不能回收,则造成经济损失.因而对重金属离子的污染进行治理具有及其重要的意义.
排放到水环境中的重金属离子常常吸附于水中各种颗粒物上,自身的水解也可使之成为颗粒态.因此采用絮凝法,可以使重金属在水中的含量得到一定程度的降低.但尚有相当部分的重金属以溶解态存在于水中,主要为各种配合物,例如各种配体和配位数不同的羟基配离子、氯配离子、氨配离子、腐殖质配合物及其他无机和有机配合物等.由于这些配合物具有相当的稳定性,一方面使重金属的溶解度得到了很大的提高,另一方也使常见高分子絮凝剂分子中的配位基(如羧基)难于与上述配合物中的配体发生配位竞争,因而现有絮凝剂品种不能有效地将溶解态重金属去除,仅靠絮凝单元操作不能达到水质标准.对于这些溶解态重金属,常用的处理方法是在絮凝处理单元之前加化学沉淀处理,或在絮凝单元之后加离子交换、吸附、反渗透、电渗析等处理单元作进一步深度处理,这样就增加了处理单元数,大大提高了处理费用.
近年来发现,将重金属离子的某些强配位基团通过反应连接到高分子絮凝剂分子中可以赋予其对重金属离子的捕集功能,由此合成了一种新型“高分子重金属絮凝剂”.将这种高分子重金属絮凝剂用于水处理的絮凝单元,不仅能通过母体高分子絮凝剂的“电中和”、“架桥絮凝”及“网捕卷扫”等作用降低水中致浊物质的含量,也能依靠配位或螯合作用去除水中溶解态的重金属,因而可减少后续处理单元数,降低处理成本,改善处理效果,使重金属离子的处理变得简单易行.
众所周知,在各种阴离子的金属难溶盐和金属氢氧化物中,金属硫化物的溶度积是最小的,如表1所示,因此在化学沉淀法中用硫化物脱除重金属的效果是比较好的.受此启发将巯基(—SH)或含有巯基的官能团,如二硫代羧酸(盐)基(

),引入到高分子絮凝剂的分子中,制备出了性能优异的高分子重金属絮凝剂,现将其制备原理、性能和作用机理分别叙述如下.
表1重金属难溶化合物的溶度积常数(Ksp)
2高分子重金属絮凝剂的制备原理2.1以聚乙烯亚胺为母体制备高分子重金属絮凝剂
通过向聚乙烯亚胺分子上引入二硫代羧基或巯基可以制备出两种高分子重金属絮凝剂:①聚乙烯亚胺基黄原酸钠(PEX);②巯基乙酰聚乙烯亚胺(MAPEI).
其中PEX是在碱性条件下使聚乙烯亚胺(PEI)与二硫化碳(CS2)发生黄原酸化反应,在其分子上引入二硫代羧基,从而获得的具有捕集重金属离子和去除浊度双重功能的高分子絮凝剂.PEX的制备原理可以用式(1)~式(2)表达.

MAPEI则是采用聚乙烯亚胺(PEI)、巯基乙酸(TGA)为原料,以EDC盐酸(EDC.HCl)为活化剂,通过酰胺化反应将巯基引入聚乙烯亚胺分子链上得到的具有捕集重金属离子和去除浊度双重功能的高分子絮凝剂.
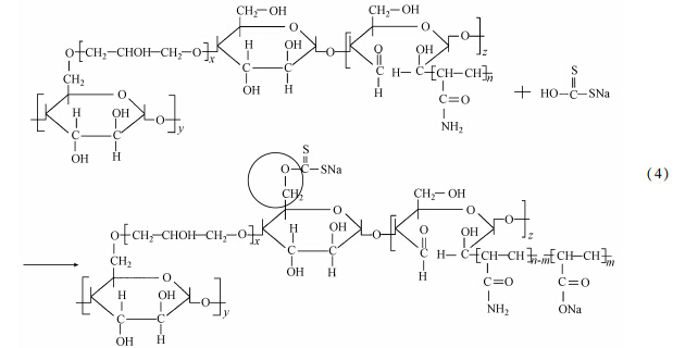
2.2以交联淀粉-丙烯酰胺为母体制备高分子重金属絮凝剂
采用交联淀粉为母体,在酸性条件下以硝酸铈铵为引发剂,以丙烯酰胺为单体,合成交联淀粉-聚丙烯酰胺接枝共聚物(CSA);又在碱性条件下,使该接枝共聚物与二硫化碳作用,生成交联淀粉-聚丙烯酰胺-黄原酸酯(CSAX).由于其结构中同时存在重金属离子的强配位基黄原酸基和具有絮凝功能的聚丙烯酰胺侧链,因而可同时捕集重金属离子和去除浊度.其中CSA与二硫化碳的反应可以用式(3)~式(4)表达.


2.3以壳聚糖为母体制备高分子重金属絮凝剂
通过在壳聚糖分子上引入巯基,可分别制备出两种高分子重金属絮凝剂:①巯基乙酰壳聚糖(MAC);②2-氨基-3-巯基丙酰壳聚糖(MCC).
其中MAC是以壳聚糖(CTS)、巯基乙酸(TGA)为原料,以EDC盐酸(EDC·HCl)为活化剂,通过酰胺化反应在CTS分子上接上对重金属离子有强配位能力的巯基乙酰,从而合成的具有捕集重金属和除浊双重功能的高分子絮凝剂.制备原理可以用式(5)~式(6)表达.

MCC则是以壳聚糖、L-半胱氨酸(2-氨基-3-巯基丙酸HSCH2CH(NH2)COOH)为原料,通过酰胺化反应将巯基引入壳聚糖分子上制备的一种具有重金属捕集功能的高分子重金属絮凝剂.
3高分子重金属絮凝剂的效能与作用原理
3.1PEX的效能与作用原理
3.1.1去除浊度
对PEX去除浊度的效能曾在两种情况下做了对比:①以高岭土配制浊度为90NTU的水样,调节pH值为不同值,投加不等量的PEX进行絮凝实验;②以高岭土配制浊度为90NTU的水样,加入一定量的重金属离子Ni(Ⅱ)或Cu(Ⅱ),使其浓度分别为25mg·L-1,不调节体系pH值(pH约为7.7),投加不等量的PEX进行絮凝实验.实验结果如图1所示.

图1pH值和共存重金属离子对PEX除浊性能的影响(a.pH值;b.共存离子) 由图可知,pH值对PEX除浊性能具有较大的影响,总趋势是浊度的去除率随着体系pH值的升高而降低,但在PEX等电点(pH3.8)时浊度的去除率最大,达98.6%.当体系中共存有重金属离子时,浊度的去除率明显升高,例如当pH约为7.7及仅有浊度存在的条件下,浊度的最高去除率为75.7%,在该体系中若共存有Ni(Ⅱ),浊度的最高去除率可达99.0%,共存有Cu(Ⅱ)时,浊度的最高去除率可达98.1%.
3.1.2去除重金属
(1)去除单一重金属
取仅含有一种类型重金属且浓度均为25mg·L-1的水样,调节其pH为不同值后,投加不等量的PEX进行絮凝实验,研究了在不同pH值下PEX去除多种单一重金属的效果.代表性实验结果举例如图2所示.

图2PEX去除单一重金属的性能(a.除Ni2+;b.除Cu2+;c.除Pb2+;d.除Cr(Ⅵ)) (2)去除混合重金属
为探明PEX对常见重金属离子的选择性顺序,分别取质量浓度相同(均为25mg·L-1)和物质量浓度相同(均为0.25mmol·L-1)的Cd(Ⅱ)、Cu(Ⅱ)、Ni(Ⅱ)、Pb(Ⅱ)、Zn(Ⅱ)混合重金属离子水样,调节pH为6.0,投加不等量的PEX(MW1×104),进行絮凝实验,研究了PEX去除混合重金属离子的效能,代表性实验结果举例如图3所示.

图3PEX去除混合重金属(a.各为25mg·L-1;b.各为0.25mmol·L-1) 以上仅为研究结果举例,广泛深入的研究表明:
PEX絮凝剂对水样中Ni2+、Cu2+和Hg2+等重金属离子具有尤为理想的去除效果;
·PEX的分子量对去除重金属离子的效果有显著影响.PEX(MW1×104)、PEX(MW6×104)对单一重金属离子Ni(Ⅱ)、Cd(Ⅱ)、Pb(Ⅱ)、Zn(Ⅱ)、Cu(Ⅱ)、Cr(VI)均有较好的去除效果,但PEX(MW60×104)对它们的去除效果欠佳;对上述单一重金属离子捕集能力的顺序为PEX(MW1×104)>PEX(MW6×104)>PEX(MW60×104);
·pH值对PEX捕集重金属离子的效果有显著的影响.除Cr(Ⅵ)外去除率随着pH值升高而升高.虽然pH值较低时去除率较低,但只要增加PEX的投药量仍然可达较高的去除率;
·PEX最佳投加量随着重金属离子初始浓度的增加而增加,随着重金属离子初始浓度的减小而减小,表现出近似化学计量关系,对于大多数受污染水样,重金属离子的浓度并不很高,因而只要pH值适宜,在较低的投药量下就可以达到良好的去除效果;
·PEX有较强的重金属离子配位竞争能力,水中常见无机阴、阳离子对PEX捕集重金属离子的影响均较小,促进或抑制作用不明显.废水中常见有机配体对PEX捕集重金属离子的影响决定于配位竞争和类聚效应,当有机配体浓度较大或与重金属配合物的稳定常数较高时,配位竞争占主导,起抑制作用,当有机配体与重金属配合物稳定常数与PEX相当或浓度较低时,类聚作用为主,发生共同螯合,起促进作用;
·浊度对PEX捕集重金属离子的影响较小,但重金属离子的存在可促进PEX对浊度的去除;
·当多种重金属离子共存于水中时,PEX对重金属离子的去除表现出一定的选择性.水中有Cd(Ⅱ)、Cu(Ⅱ)、Ni(Ⅱ)、Pb(Ⅱ)、Zn(Ⅱ)5种混合离子时,PEX首先对水样中的Cu(Ⅱ)、Pb(Ⅱ)表现出良好的去除效果.当PEX投加量较低时,去除顺序为Cu(Ⅱ)>Pb(Ⅱ)>Ni(Ⅱ)>Zn(Ⅱ)>Cd(Ⅱ);当PEX投加量较高时,去除顺序为Cu(Ⅱ)>Pb(Ⅱ)>Cd(Ⅱ)>Ni(Ⅱ)>Zn(Ⅱ).
3.1.3去除重金属的原理
PEX捕集重金属离子的主要作用机理包括了重金属离子与PEX分子链上的二硫代羧基的配位或螯合作用及与PEX分子链上的胺基的配位作用,其中与二硫代羧基的螯合作用发挥主要的捕集功能,它可以是重金属离子与同一分子链上的两个以上相邻配位基之间的螯合,也可以是重金属离子与分属于多个分子链上配位基之间的螯合,以后者为例,表示如下:

水中Cr(Ⅵ)通常以阴离子形态存在,不能与PEX分子上的黄原酸基发生配位作用,但PEX分子上的黄原酸基具有强还原性,在酸性条件下可将Cr(Ⅵ)还原为Cr3+,Cr3+再与PEX分子上的其余黄原酸基发生螯合沉淀反应,从而达到去除Cr(Ⅵ)的目的.
3.2CSAX的效能与作用原理
3.2.1去除浊度
取浊度为100NTU,pH值为5.0的水样(含25mg·L-1Cu2+),投加不等量CSAX,絮凝沉淀后测定水中残余浊度,求除浊效率,并与交联淀粉黄原酸酯(CSX)、交联淀粉丙烯酰胺接枝共聚物(CSA)做了对比;另取浊度为100NTU的水样(含25mg·L-1Cu2+),将其pH值分别调整为2.0、3.0、4.0、5.0,投加不等量CSAX,絮凝沉淀后测定水中残余浊度,研究在不同pH值下CSAX的浊度去除率,实验结果如图4所示.
由图4a可以看出,具有聚丙烯酰胺側链的CSAX和CSA均具有较强的除浊能力,不具有聚丙烯酰胺側链的CSX的除浊能力较差.除浊能力的顺序为CSA>CSAX>CSX,可见CSA的黄原酸化使其除浊能力略有降低.由图4b可知,随CSAX投加量的增加,除浊效率先升后降,在25~30mg·L-1之间出现最佳值.当pH分别为3.0、4.0和5.0时,在最佳投药量时浊度的去除率分别达到93.4%、94.8%和96.4%,表现为浊度去除率随pH值升高而升高.但当pH=2.0时浊度去除率为96.1%,高于pH3.0和pH4.0,不符合上述规律,这可能是因为H+使高岭土表面电荷符号有所改变,导致浊度的去除率有所升高.

图4CSAX的除浊性能(a.与CSX、CSA的对比;b.不同pH值下的性能) 3.2.2去除重金属
(1)去除单一重金属
取单一重金属浓度为25mg·L-1,浊度为100NTU的水样,将其pH值分别调整为2.0、3.0、4.0、5.0,投加不等量的CSAX,絮凝沉淀后测定水中残余重金属的浓度,研究了在不同pH值时CSAX对重金属的去除效率,代表性实验结果举例如图5.

图5CSAX去除单一重金属的性能(a.除Cu2+;b.除Cr(Ⅵ);c.除Ni2+;d.除Hg2+) (2)去除混合重金属
取质量浓度相同(均为25mg·L-1)的Cd(Ⅱ)、Cu(Ⅱ)、Ni(Ⅱ)、Pb(Ⅱ)、Zn(Ⅱ)混合离子水样,调节pH为6.0,投加不同量的CSAX,或固定CSAX投加量,调节pH为不同值,进行絮凝实验,结果如图6所示.

图6CSAX去除混合重金属(a.不同投药量b.不同pH值) 以上仅为代表性研究结果举例,广泛深入的研究表明:
·CSAX对水中重金属离子Cu2+、Pb2+、和Cr(Ⅵ)有较高的去除率,但对Ni2+的去除效果不佳;
·水的pH值对CSAX去除重金属离子和浊度有重要影响,去除率随pH值升高而升高.在较高的pH值下,用较少的絮凝剂就可达到较高的去除率,而在较低的pH值下,需提高絮凝剂的投加量才能达到较高的去除率;
·CSAX有较强的重金属离子配位竞争能力,水中常见阳离子对CSAX去除重金属离子和浊度略有影响,一般起促进作用,Cl-、NO3-、SO42-、EDTA和腐殖酸等对CSAX去除重金属离子和浊度的影响不尽相同,总的规律是Cl-、NO3-、SO42-的影响可以忽略不计,虽然EDTA的抑制作用较为明显,但CSAX的配位竞争能力远大于EDTA,腐殖酸存在时出现类聚效应,与CSAX发生共同螯合作用,因而能起到促进去除重金属离子的作用;
·CSAX对重金属离子的去除能力的顺序为:Cu2+>Pb2+>Cd2+>Ni2+>Zn2+.
3.2.3去除重金属的原理
CSAX捕集重金属离子的主要作用机理包括了重金属离子与其分子上的二硫代羧基的配位或螯合作用及与PAM侧链上的胺基或羟基(水解生成)的配位作用,其中与二硫代羧基的螯合作用发挥主要的捕集功能,它可以是重金属离子与同一分子链上的两个以上相邻配位基之间的螯合,也可以是重金属离子与分属于多个分子链的配位基之间的螯合,以后者为例,表示如下:

水中Cr(Ⅵ)通常以阴离子形态存在,不能直接被除去,但CSAX分子上的黄原酸基具有强还原性,在pH2.0的酸性条件下将Cr(Ⅵ)还原为Cr3+,再把pH值提升至5.0时,CSAX分子上的黄原酸基的电离度增大,生成的黄原酸根与Cr3+发生配位沉淀反应,从而达到去除Cr(Ⅵ)的目的.
3.3MAC的效能与作用原理
3.3.1去除浊度
取pH=5.5,浊度为90NTU的水样,按以下方法做絮凝实验以期比较:①单独投加壳聚糖溶液除浊;②单独投加MAC除浊;③在有Cu2+(25mg·L-1)的条件下,投加MAC除浊,结果如图7a所示.在浊度为160NTU的高岭土悬浊液中(含25mg·L-1Cu2+),调节溶液pH值至不同值,投加MAC除浊,结果见图7b.

\
图7MAC的除浊性能(a.与CTS的比较;b.pH值和重金属离子的影响) 从图7a可以看出,壳聚糖和MAC都具有除浊的能力.在水样不含有重金属离子的情况下,MAC的除浊能力低于壳聚糖,当水样含有重金属离子时,二者的除浊能力相当.图7b说明pH值对MAC的除浊能力有一定影响,pH值较低时除浊效果较好,pH值较高时除浊效果较差.壳聚糖本身虽然有一定的除浊效能,但它只能溶于酸性介质,因而限制了其作为絮凝剂的使用操作.壳聚糖经巯基乙酸改性成为MAC后,除浊能力相当,但可以在较高的pH值条件下溶解,水溶性得到了改善,使其作为絮凝剂应用变得简单易行.
3.3.2去除重金属
(1)去除单一重金属
取浓度为25mg·L-1的仅含铜或镍水样,将其pH值分别调整为5.3和7.8,分别投加不等量的MAC、TGA作絮凝实验,对比它们去除重金属离子的性能,结果如图8a、8b所示;取浓度为25mg·L-1的含铜(并含浊)水样或含镉水样,将其pH值分别调整为不同值,投加不等量的MAC,絮凝沉淀后,测定水中残余重金属的浓度,研究在不同pH值时MAC对重金属的去除效率,实验结果如图8c,8d所示.

图8MAC去除单一重金属的性能(a.与TGA除Cu2+的比较;b.与TGA除Ni2+的比较;c.除Cu2+;d.除Cd2+) (2)去除混合重金属
用MAC处理含Cu2+、Ni2+和Cd2+(均为25mg·L-1)的废水,研究MAC对重金属离子的选择性,结果如图9所示.

图9MAC去除混合重金属 以上仅为代表性研究结果举例,广泛深入的研究表明(章敏等,2007;Changetal.,2009;张翠玲和常青,2010;张文杰等,2011;Xuetal.,2013):
·MAC对含Cu2+、Cd2+、Ni2+的废水均能达到较好的处理效果,投加量少,生成絮体时间短,沉降性好,易于固液分离,出水水质好,出水pH值在6.0~8.0之间;
·壳聚糖不具有去除重金属离子的性能,TGA具有一定的去除重金属离子的性能,但MAC去除重金属的性能远高于TGA;
·壳聚糖的分子量(MW)和脱乙酰度(DD)对MAC的去除能力有重要影响,MW为2×105~4×105,DD>90%时,MAC表现出较好的性能;
·以MAC为絮凝剂时,pH值有重要影响.重金属的去除率随着pH值的升高而升高,而浊度去除率随着pH值的升高而降低,对于既含有重金属又含有浊度的水,选择pH值时应兼顾二者;
·MAC捕集混合重金属离子时表现出一定的选择性,该选择性顺序与溶液的pH值有一定关系.例如当pH=7.0时为:Cd2+>Cu2+>Ni2+,当pH=5.0时为:Cu2+>Cd2+>Ni2+;
·以MAC为絮凝剂时,重金属离子和浊度会相互促进其去除,从而使两者都得到很好的去除;
·废水中的碱金属、碱土金属离子、Fe3+、Cl-、NO3-、SO42-、有机配位剂的存在对MAC去除重金属离子的影响不尽相同,或促进或抑制,例如水中的腐殖酸能促进重金属离子的去除,EDTA会抑制重金属离子的去除.可利用其促进作用使重金属离子得到更好的去除,可通过增加MAC的投加量来减小或消除其抑制作用.
3.3.3去除重金属的原理
MAC捕集重金属离子的主要作用机理包括了重金属离子与其分子上巯基的配位或螯合作用及与壳聚糖分子上的亚胺基的配位作用,其中与巯基的螯合作用发挥主要的捕集功能,它可以是重金属离子与同一分子链上的两个以上相邻配位基之间的螯合,也可以是重金属离子与分属于多个分子链的配位基之间的螯合,以后者为例,表示如下:

4结论与展望
为了去除水中的重金属离子,传统化学沉淀法以石灰作为沉淀剂,投药量大,产生的沉淀物为细小颗粒,沉降速度慢,难于与水分离,出水pH值高,两性重金属离子可能会出现再溶现象.在遇到重金属污染的突发事件时,以往的做法是将大量石灰和聚合氯化铝投入水中,操作十分粗放,去除效果差.至于目前已有研究的重金属捕集剂,由于仅有重金属捕集功能,没有絮凝沉淀作用,所以沉降速度较慢,分离效果较差.
将重金属离子的某些强配位基团通过化学反应连接至高分子絮凝剂分子上可制备具有重金属捕集功能的高分子重金属絮凝剂.高分子重金属絮凝剂既可去除水中浊度又可去除水中的可溶性重金属离子,具有双重功能.由于高分子重金属絮凝剂在水中产生絮体,所以沉降速度快,易与水分离,出水清澈,pH值适宜,克服了传统方法的不足.
本文所介绍的高分子重金属絮凝剂中,PEX去除重金属离子的效能最高,但原料聚乙烯亚胺较贵,所以制备成本最高;CSAX去除重金属离子的效能较高,制备成本较低,但制备流程长而复杂;MAC去除重金属离子的效能较高,制备方法简单,成本也较低.其中PEX已通过了中试生产,应用于一些企业的重金属废水的处理,显示了良好的效果.
总之,高分子重金属絮凝剂具有很好的研究及应用前景,可以说本研究拓展了絮凝剂的功能,开创了絮凝学研究的新领域.作者衷心希望高分子重金属絮凝剂的研究能得以继续、完善提高,在不久的将来会出现更多更经济高效的品种.














