ºÏ½ðÈÈÁ¦Ñ§

Ó¦ÓÃÈÈÁ¦Ñ§ºÍͳ¼ÆÎïÀíÑо¿ºÏ½ðµÄÏàͼ¡¢Ïà±ä¼°ÓйØÐÔÄܵÈÎÊÌâµÄѧ¿Æ¡£ºÏ½ðÈÈÁ¦Ñ§ÓֽйÌÌåÈÈÁ¦Ñ§»ò²ÄÁÏÈÈÁ¦Ñ§£¬¼´½«Ñо¿µÄ¶ÔÏóÍÆ¹ãµ½¹ÌÌå»ò²ÄÁÏ¡£ºÏ½ðÈÈÁ¦Ñ§ÓÖ½ÐÒ±½ðÈÈÁ¦Ñ§£¬Ôò½«ËüÍÆ¹ãµ½¹ã·ºµÄÒ±½ðÏÖÏ󡣺ϽðÈÈÁ¦Ñ§ÓֽкϽðÄÜÁ¿Ñ§£¬Ç¿µ÷ËüÓÃÄÜÁ¿µÄ¹Ûµã£¬´¦ÀíÓйغϽðµÄÎÊÌâ¡£

ºÏ½ðÈÈÁ¦Ñ§µÄÀíÂÛ»ù´¡

¾­µäÈÈÁ¦Ñ§

¾­µäÈÈÁ¦Ñ§ÊÇÏÖÏóÀíÂÛ¡£ËüËùÒÀ¾ÝµÄÊÇ´ÓÎÞÊý¾­Ñé¹éÄɳöµÄÈý¸ö¶¨ÂÉ£¬È»ºó´Ó´ËÑÝÒï³öÐí¶àÃèÊöÎïÖÊÆ½ºâÐÔÖʵĹØÏµÊ½¡£

ÈÈÁ¦Ñ§µÚÒ»¶¨ÂÉÊÇÁ¦Ñ§ÖлúеÄÜת»»ºÍÊØºã¶¨ÂɵÄÑÓÉì¡£Èô»·¾³¶ÔÌåϵ×÷¹¦W£¬ÌåϵÓÖ´Ó»·¾³ÎüÈÈQ£¬ÔòÌåϵµÄÄÚÄÜÔö¼ÓΔUΪ£ºΔU£½W£«Q (1)

»ò dU£½δW £«δQ (1a)

ÓÉÓÚUÊÇ״̬º¯Êý£¬²ÅÄÜдΪȫ΢·Ö;¶øW ¼°QËæ¹ý³Ì¶øÓÐËù²»Í¬£¬²»ÄÜдΪȫ΢·Ö¡£

ÈÈÁ¦Ñ§µÚ¶þ¶¨ÂÉÖ¸³öÁ˹ý³Ì·½Ïò£¬ËüµÄÒ»ÖÖ±í´ï·½Ê½±ãÊÇìØÔöÔ­Àí£ºdS£¨×Ü)=(dS£¨Ì壩+dS(»·))¡Ý0 (2)

ʽÖÐdS£¨Ì壩¡¢dS(»·)¼°dS£¨×Ü)·Ö±ð±íʾÌåϵ¡¢»·¾³ºÍ×ÜìØµÄȫ΢·Ö£»(2)ʽÖС°=¡± ±íʾƽºâ¹ØÏµ£»¡°£¾¡± ±íʾ¹ý³Ì·½Ïò¡£ìصĸÅÄîÊÇÔÚ19ÊÀ¼ÍÑо¿ÈÈ»úЧÂÊʱÌá³öµÄ£º´Ó״̬ 1µ½×´Ì¬ 2µÄÈÈÁ¿±ä»¯ÊÇËæÍ¾¾¶¶øÒìµÄ£¬¶ø¿ÉÄæ¹ý³ÌµÄÔòÓë;¾¶Î޹ء£ÈËÃǶ¨ÒåìØSµÄȫ΢·ÖΪ£ºdS…ÖδQr/T (3)

δQrÊÇ¿ÉÄæ¹ý³ÌµÄÈÈÁ¿±ä»¯£¬TÊǾø¶Ôζȣ¬ÓÉÓÚSÊÇ״̬º¯Êý£¬¹Ê¿ÉдΪȫ΢·Ö¡£

ÈÈÁ¦Ñ§µÚÈý¶¨ÂÉÊÇΪÁ˼ÆËãìØµÄ¾ø¶ÔÖµµÄ¡£Äý¾ÛϵµÄìØÔÚºãιý³ÌÖиıäÖµΔS Ëæ¾ø¶ÔζȽµµÍ¶øÇ÷ÓÚÁã¡£¼´£º

(4)

´Ó(3)ʽµÃµ½£º

(5)

´Ó(4)ʽ¿ÉÒÔÖ¤Ã÷S0ÊÇÒ»¸ö¾ø¶Ô³£Êý£¬Ò»°ãÑ¡ÔñS0=0¡£

ÈÈÁ¦Ñ§µÚÒ»¼°µÚ¶þ¶¨ÂÉ·Ö±ðÒýÈëÌåϵµÄ״̬º¯ÊýU¼°S£¬ÎªÁË·ÖÎöÎÊÌâµÄ·½±ã£¬¶¨ÒåÁËìÊH¡¢×ÔÓÉÄÜF¼°×ÔÓÉìÊGH…ÖU+pV (6)

F…ÖU-TS (7)

G…ÖH-TS (8)

ʽÖÐp¼°V·Ö±ðÊÇÌåϵµÄѹǿºÍÌå»ý¡£ºÏ²¢µÚÒ»¼°µÚ¶þ¶¨ÂÉ£¬¿ÉÒÔ»ñµÃ¹Ø±ÕÌåϵ£¨Óë»·¾³Ã»ÓÐÎïÖʽ»»»£©µÄƽºâÌõ¼þ(=)¼°¹ý³Ì·½Ïò(£¼)Ϊ£º(dU)v£¬S¡Ü0 (9)

(dH)p£¬S¡Ü0 (10)

(dF)v£¬T¡Ü0 (11)

(dG)p£¬T¡Ü0 (12)

ÓÉÓÚp¡¢V¡¢T¡¢S¡¢U¡¢H¡¢F¡¢G¶¼ÊÇ״̬º¯Êý£¬½èÖúÓÚ΢·Ö·½³Ì£¬¿ÉÒÔµ¼³öÐí¶à±íÊöÎïÖÊÆ½ºâÏÖÏóµÄ¹ØÏµÊ½¡£ÀýÈ磬¿¼ÂÇ¿ÉÄæ¹ý³ÌµÄÅòÕ͹¦(pdV)£¬ÔòºÏ²¢µÚÒ»¶¨ÂÉ(1)ʽ¼°µÚ¶þ¶¨ÂÉ(3)ʽµÃµ½£ºdU£½TdS-pdV (13)

ÀûÓÃÉÏʽ¼°H¡¢F¡¢G¶¨Ò壬¿ÉÒÔ·Ö±ðµÃµ½£ºdH£½TdS+Vdp (14)

dF£½-SdT-pdV (15)

dG£½-SdT+Vdp (16)

ÈôÔÙ¿¼ÂÇ¿ÉÄæ¹ý³ÌµÄÆäËû¹¦£¨ÏÂ±í£©£¬

ͼ

ÔòÓë-pdV Ïà¶ÔÓ¦µÄÓÐF¡¤d¦É¡¢γdA¡¢¦ÅdZ¡¢H¡¤dJ£¬Òò¶ø¹ãÒåìʵ͍ÒåΪ£º

(17)

ʽÖÐYKΪÓëÌåϵµÄÎïÖÊ×ÜÁ¿Î޹صġ°Ç¿¶ÈÐÔÖÊ¡±£¬Èç±íÖÐp¡¢F¡¢γ¡¢¦Å¡¢H£»XKΪÓëÌåϵµÄÎïÖÊ×ÜÁ¿Óйصġ°¹ã¶ÈÐÔÖÊ¡±£¬ÓÐʱ½«YKºÍXK·Ö±ð½Ð×÷¡°¹ãÒåÁ¦¡±ºÍ¡°¹ãÒåÎ»ÒÆ¡±¡£Òò´Ë

(18)

ͼ

(19)

ÀûÓÃ(19)ʽ¼°¸½±í£¬¿ÉÒÔ´¦Àí¹ã·ºµÄÎïÀíºÍ»¯Ñ§ÏÖÏó¡£

ÓÉÓÚÔÚҺ̬ºÍ¹Ì̬½ðÊôµÄÑо¿ÖУ¬pºÍV³£±ä»¯½ÏС£¬¿ÉÒÔºöÂÔ²»¼Æ£¬ËùÒÔGºÍFµÄÅоݳ£¿É»¥»»Ê¹Óá£

¾­µäÈÈÁ¦Ñ§ÊÇÈÈѧµÄÒ»²¿·Ö£¬¶øÈÈѧµÄÌØÓÐʵÑé¼¼ÊõÊDzâÎÂ(T)¼°Á¿ÈÈ(Q)¡£´Ó(6)¼°(11)ʽµÃµ½£ºΔH£½Q£«W£«pΔV£«VΔp

ÈôÌåϵֻ×÷¿ÉÄæÅòÕ͹¦(-pΔV)£¬ÔòÔÚºãѹ(Δp£½0)ϵÄÈÈЧӦQp±ãÊÇΔH£ºΔH£½Qp (20)

ºãѹÏÂÈÈÈÝCp£¬¼´Ê¹ÌåϵÉý¸ß1¡æËùÐèµÄÈÈΪ£º

(21)

»ò dH£½CpdT (22)

CpÒ×Óڲⶨ£¬Ò»°ã¾ß±¸ÈçÏÂÐÎʽ£ºCp£½a+bT-cT-2 (23)a¡¢b¼°cÊÇËæÌåϵ¶øÒìµÄϵÊý¡£ºÏ²¢ÉÏÁжþʽ±ã¿É´ÓʵÑéÉÏÈ·¶¨ΔH£»¶øÓ¦Óõڶþ¶¨ÂÉ(3)ʽ¼°ÊµÑé²â¶¨µÄδQr£¬±ã¿É»ñµÃΔS£»ÔÙÀûÓÃF¼°GµÄ¶¨Òå[(7)¡¢(8)ʽ]£¬±ã¿É»ñµÃΔF ¼°ΔG¡£

»¯Ñ§ÈÈÁ¦Ñ§

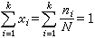
»¯Ñ§ÈÈÁ¦Ñ§Ñо¿Ìåϵ»¯Ñ§±ä»¯¹ý³ÌµÄÈÈÁ¦Ñ§ÎÊÌâ¡£Ó¦Óþ­µäÈÈÁ¦Ñ§´¦Àí»¯Ñ§ÎÊÌâʱ£¬ÐèÒªÁ½¸öеĸÅÄ³É·ÖºÍÏà¡£Ò»°ãÓÃĦ¶ûÊýni»òĦ¶û·ÖÊýxiÀ´±íʾ×éÔªµÄ³É·Ö£º

(24)

(25)

ʽÖÐN ΪkԪϵÖÐĦ¶û×ÜÊý¡£ÒýÈëi×éÔªµÄ»¯Ñ§ÊÆμi£º

(26)

ʽÖÐÀ¨ºÅÍâÓÒϽǵÄnj±íʾ³ýi×éÔªÍ⣬ÆäËû×éÔª¶¼²»±äµÄÇé¿ö¡£ÔÚkԪϵÖÐÁ½ÏࣨA£«B£©Æ½ºâʱ£¬Ã¿Ò»¸ö×éÔªÔÚ A ¼° B ÏàÖеĻ¯Ñ§ÊƱØÐëÏàµÈ£ºμЦ£½μŠñ (27)

¶ÔÓÚ¶þÔª £¨A¼°B£©ÏµÖеÄÁ½ÏࣨA ºÍB£©Æ½ºâ£¬¿ÉÓÃÏÂҳͼËùʾµÄ¹«ÇÐÏßͼ½â·¨Çó³öƽºâʱAÏàµÄ³É·ÖxaºÍBÏàµÄ³É·ÖxB¡£

ͼ

»¯Ñ§ÊÆÒ²¿ÉÓÃÓÚÅжϹý³ÌµÄ·½Ïò£¬µ±£ºμЦ£¾μŠñ (28)

Ôòi×éÔª¿É×Ô·¢µØ´ÓAÏàÇ¨ÒÆµ½BÏà¡£

¶ÔÓÚÈçÏµĻ¯Ñ§·´Ó¦£ºaA+bB+¡­¡­¡ú¦ÉL+mM+¡­¡­ (29)

ʽÖÐA£¬B£¬¡­¡­ÊÇ·´Ó¦ÎL£¬M£¬¡­¡­ÊÇ·´Ó¦²úÎï;a£¬b£¬¡­¡­¼°¦É£¬m£¬¡­¡­·Ö±ðÊÇA£¬B£¬¡­¡­L£¬M£¬¡­¡­µÄĦ¶ûÊý£¬¿ÉÒÔÖ¤Ã÷£¬ºãκãѹƽºâʱ(ΔGm£½0)µÄ¹ØÏµÎª£º

(30)

ʽÖÐΔGŒGÊÇζÈΪTʱ±ê×¼×ÔÓÉìʱ仯£¬a¦¡£¬aB£¬¡­¡­£¬aL£¬aM¡­¡­·Ö±ðÊÇA£¬B£¬¡­¡­L£¬M£¬¡­¡­µÄ»î¶È;K½Ð×÷ƽºâ³£Êý¡£Òò´Ë£¬ÖªµÀÁËΔGŒG¼°·´Ó¦ÎïµÄ»î¶È£¬±ã¿É¼ÆËã·´Ó¦²úÎïµÄ»î¶È£¬´Ó¶øÖªµÀ¹ý³Ì½øÐеij̶ȡ£»î¶ÈaÒ²³ÆÎªÓÐЧŨ¶È£ºai£½γixi (31)

ʽÖÐγiÊÇ»î¶ÈϵÊý£¬¿ÉÒÔʵÑé²â¶¨¡£

ͳ¼ÆÈÈÁ¦Ñ§

ÈÈÁ¦Ñ§µÄÓŵãÊÇËüµÄ¸ß¶È¿É¿¿ÐÔºÍÓ¦ÓÃµÄÆÕ±éÐÔ¡£µ«Ëü²»¿¼ÂÇÎïÖʵĽṹ£¬²»¸ø³öÎïÖʵľßÌå֪ʶ£¬ËüÖ»ÊÇÒ»ÖÖºê¹ÛµÄÏÖÏóÀíÂÛ¡£Í³¼ÆÈÈÁ¦Ñ§ÕýºÃÃÖ²¹ÁËÈÈÁ¦Ñ§µÄÕâ¸öȱµã£¬Ëü´ÓÌåϵµÄ¾ßÌå½á¹¹£¬È¥¼ÆËãÈÈÁ¦Ñ§º¯Êý¡£ÀýÈ磬ÀûÓÃÏÂʽ¿ÉÒÔ¼ÆËãÌåϵµÄ×éÌ¬ìØ£ºS£½k ln W (32)

ʽÖÐkÊDz£¶ú×ÈÂü³£Êý£¬WÊÇÈÈÁ¦Ñ§¼¸ÂÊ»ò½Ð״̬Êý¡£ÓÖÀýÈ磺F£½-KT ln Z (33)

(34)

(35)

ʽÖÐZÊÇÅä·Öº¯Êý£¨Ó¢ÎÄΪPartition function£¬µÂÎÄΪZustands-summe£¬ºóÕßÒâΪ״̬ºÍ£©£»¦Åi Ϊ i ̬ÄÜÁ¿¡£Òò´Ë£¬½èÖúÓÚ(32)¡«(35)ʽ£¬¿É´ÓÌåϵµÄ½á¹¹È¥¼ÆËãS¡¢Z¡¢F¼°U¡£ÀýÈ磬¿ÉÒÔ¼ÆËãÔ­×ÓÕ¼¾Ý¾§¸ñÕóµãµÄ×éÌ¬ìØ£¬ÒÔ¼°¸÷ÖÖ΢¹ÛÁ£×Ó(·Ö×Ó¡¢Ô­×Ó¡¢µç×ÓµÈ)ºÍÄÜÁ¿µ¥Ôª£¨Éù×Ó¡¢¹â×Ó¡¢´Å×ӵȣ©·Ö²¼Ëùµ¼ÖµÄÔ˶¯ìØ¡£

µäÐÍÎÊÌâ¾ÙÀý

ºÏ½ðÈÈÁ¦Ñ§ËùÑо¿µÄ¿ÎÌâ²»¶ÏÔÚ·¢Õ¹£¬ÏÖ¾ÙÀý½éÉÜÆä˼·ÈçÏ£º

ƽºâ½á¹¹

Ö÷Òª½â¾öºÏ½ðÄÚ²¿¼¸¸ö×éÔªÖ®¼ä´ïµ½Æ½ºâʱµÄ½á¹¹ÐÎʽ£¬ÀýÈ磬ÊÇÐγÉÀíÏë¹ÌÈÜÌ壬»òÓÐÐò¹ÌÈÜÌ壬»¹ÊÇÐγɽðÊô¼ä»¯ºÏÎïµÈµÈ£¨¼ûºÏ½ðÏࣩ¡£

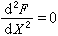
ÔÚ´¦ÀíÆ½ºâ½á¹¹ÎÊÌâʱ£¬¿ÉÒÀ¾Ý¾ßÌåÇé¿ö£¬Ñ¡Ôñ(9)¡«(12)ʽµÄƽºâÅоݡ£Ò»°ã¶¼ÓÃ×ÔÓÉÄÜ FÀ´ÃèÊö±ä»¯µÄƽºâ£¬ÒÔ(11)ʽΪƽºâÅоݣ¬²¢ÒÔ×ÔÓÉÄÜΪ×îС×÷Ϊ±ä»¯µÄƽºâÌõ¼þ¡£¾ßÌå²½ÖèÈçÏ£ºÑ¡¶¨ËùÒªÑо¿µÄ³É·Ö»ò½á¹¹²ÎÁ¿X£¨ÀýÈç±¥ºÍ¹ÌÈÜÌåµÄ³É·Ö£¬ÓÐÐò¹ÌÈÜÌåµÄÓÐÐò¶È£¬´¿½ðÊôµÄ¿Õλ±¥ºÍŨ¶È£¬¾§½çÇøµÄƽºâŨ¶È£¬´Å³ë±ÚµÄºñ¶ÈµÈ£©È»ºó¼ÆËãUºÍSÓëXµÄ¹ØÏµ£¬´úÈë(7)ʽ£¬µÃµ½£ºF£½f(X£¬T) (36)

ÀûÓÃÆ½ºâϵͳµÄ×ÔÓÉÄÜΪ×îСµÄÌõ¼þ£ºdF/dX£½f©Å(X£¬T)=0 (37)

d2F/dX2=f"(X£¬T)£¾0 (38)

±ã¿É´Ó(37)ʽÇó³öƽºâʱXºÍTµÄ¹ØÏµ¡£

ÒÔ¶þÔª´úλ¹ÌÈÜÌåΪÀý¡£ÓÉͳ¼ÆÎïÀíѧ¹«Ê½£¨32£©£¬¿ÉÒԵóöϵͳµÄĦ¶û»ìºÏìØ£¨×éÌ¬ìØ£©Sm£ºSm£½-R(X¦¡lnX¦¡+XBlnXB) (39)

ʽÖÐX¦¡¡¢XB·Ö±ðΪAºÍB×éÔªµÄĦ¶û·ÖÊý£»RÎªÆøÌå³£Êý¡£

µ±ÒÑÖª¹ÌÈÜÌåµÄ½á¹¹ÎªÍêÈ«ÎÞÐòÅÅÁУ¬ÓÃͳ¼ÆÎïÀí·½·¨»¹¿É¼ÆËã¶þÔª¹ÌÈÜÌåÄÚÄܱ仯£ºUm£½λX¦¡XB (40)

(41)

¶ÔÄý¾ÛϵΔUm£½ΔHm£¨ΔHmΪÈܽâÈÈ£©£¬Ê½ÖÐλλΪԭ×Ӽ佻»¥×÷ÓòÎÊý£¬¿ÉÓÉʵÑé²â¶¨¡£NΪ°¢·ü¼ÓµÂÂÞ³£Êý£¬zΪ¾§ÌåÖÐÔ­×ÓµÄÅäλÊý£¬wAB¡¢wAA¡¢wBB·Ö±ð´ú±íÒìÀàÔ­×Ó¼°Í¬ÀàÔ­×Ó¼äµÄ¼üÄÜ£¬ÓÚÊǸù¾Ý(39)ʽ¼°(41)ʽ£¬¿ÉµÃ¶þÔª¹æÔò¹ÌÈÜÌåµÄ»ìºÏ×ÔÓÉÄÜ£ºFm£½λX¦¡XB+RT(X¦¡lnX¦¡+XBlnXB) (42)

Õû¸ö¹ÌÈÜÌåµÄ×ÔÓÉÄÜÓë´¿×éÔª×ÔÓÉÄÜF¦¡¡¢FB¹ØÏµÎª£ºFm£½X¦¡F¦¡+XBFB+λX¦¡XB+RT(X¦¡lnX¦¡+XBlnXB) (43)

ÁîX¦¡£½X£¬ÔòXB£½1-X£¬²¢ÀûÓÃÉÏʽ¼°(11)ʽ£¬¿ÉµÃ£º

(44)

(45)

¸ù¾Ý(44)ºÍ(45)ʽ£¬ÓÉλ¡Ü0»òλ£¾0£¬¿ÉÅжϺϽð¹ÌÈÜÌåÔÚÆ½ºâ״̬µÄÐÔÖÊ£º

µ± λ£½0£¬¼´£¬±íÃ÷ÒìÀàÔ­×Ó¼äµÄ¼üÄܵÈÓÚͬÀàÔ­×Ó¼üÄÜ£¬ºÏ½ðΪÀíÏë¹ÌÈÜÌå¡£

µ± λ£¼0£¬¼´£¬±íÃ÷ÒìÀàÔ­×Ó¼äµÄ¼üÄÜСÓÚͬÀàÔ­×Ó¼äµÄ¼üÄÜ£¬ÒìÀàÔ­×ÓÈÝÒׯ«¾Û¡£ÔÚ×éÔª¼äµç»¯Ñ§ÒòËØÏà²î½ÏСµÄÇé¿öÏ£¬ºÏ½ðÔÚµÍÎÂÏÂÇãÏòÓÚÐγÉÓÐÐò¹ÌÈÜÌ壨»ò³Æ³¬µãÕ󣩡£Èç×éÔª¼äµç»¯Ñ§ÒòËØÏà²î½Ï´ó£¬ÔòºÏ½ðÇãÏòÓÚÐγɽðÊô¼ä»¯ºÏÎï¡£ µ± λ£¾0£¬¼´£¬¿É·ÖÈýÖÖÇé¿ö£º

£¨1£©µ±2RT£¾λ£¾0£¬ÈÜÒºÈÔΪµ¥Ïà¹ÌÈÜÌ壻

£¨2£©µ±λ£½2RT£¬£¬´ËʱΪÐγÉÁ½¸ö¹ÌÈÜÌåµÄÁÙ½ç·Ö²ãµã£»

£¨3£©µ±λ£¾2RT£¬£¬´ËʱÌåϵ½«¿ªÊ¼ÐγÉÒÔA»òBΪ»ùµÄÁ½¸ö¹ÌÈÜÌ壬ÐγÉÏàÇø½çÏÞ¡£

Áî(44)ʽΪÁ㣬Ôò £¬¿ÉÒԵõ½¶þԪϡ¹ÌÈÜÌåµÄ±¥ºÍ¹ÌÈܶÈxÓë¾ø¶ÔζÈTµÄ¹ØÏµ£¬¼´£º

(46)

ʽÖÐΔHÊÇÈܽâÈÈ;ΔSvÊÇÈܽâʱÕñ¶¯ìصı仯¡£´ÓÏàͼµÃµ½Fe3CÔÚaÌúÖеĹÌÈܶÈʵÑéÊý¾Ý£º

(47)

¶Ô±ÈÉÏÁжþʽ±ã¿ÉµÃµ½£ºÈܽâÈÈΔH£½9700cal/mol£¨Ô­×Ó£©£¬¶ø´Ó0.41¿ÉÒÔ¼ÆËãÕñ¶¯ìصı仯ΔSv¡£

ʧÎÈÌõ¼þ

ºãκãѹÏ£¬×´Ì¬Ê§ÎȵıØÒªÌõ¼þÊÇ×ÔÓÉìʵÄϽµ£¬¼´ΔG£¼0[(12)ʽ]¡£ÒÔÒº-¹Ì½á¾§ÎªÀý£¬ÈôÔÚÒºÏàÖÐÐγɰ뾶ΪrµÄÇòÐξ§ºË£¬²¢ÒÔÒºÏàΪ²Î¿¼Ì¬£¬ÔòÕâʱµÄG Ϊ£º

(48)

ʽÖÐGvÊǵ¥Î»Ìå»ýÒºÏàת±äΪ¹ÌÏàµÄ×ÔÓÉìʱ仯£¬Äý¹Ìʱ GvΪ¸ºÖµ£»γ Êǵ¥Î»Ãæ»ý¹ÌÒº½çÃæµÄÄÜÁ¿£¬½Ð×ö±íÃæÕÅÁ¦»ò±È½çÃæÄÜ£¬ÎªÕýÖµ¡£ÇóG ¶ÔrµÄÒ»½×¼°¶þ½×µ¼Êý£º

(49)

ÕâʱµÄr¼ÇΪ*£º

(50)

ÕâʱµÄG ¼ÇΪG£º

(51)

¶ø

(52)

Òò´Ë£¬GËærµÄ±ä»¯£¬ÔÚr*´¦ÓÐÒ»¸ö¼«´óÖµ£¬µ±r¡Ýr*ºó£¬ rµÄ¼ÌÐøÔö´ó£¬²Å»áʹG¼ÌÐøÏ½µ¡£ÕâÀïµÄr*½Ð×ö¾§ºËµÄÁÙ½ç³ß´ç£¬G*½Ð×öÐκ˹¦¡£Õâ¸ö״̬µÄʧÎÈÌõ¼þ±ãÊÇ(49)¼°(52)ʽ¡£

ºãÈݾøÈÈʱ£¬×´Ì¬Ê§ÎȵıØÒªÌõ¼þÊÇÄÚÄܵÄϽµ£¬¼´ΔU£¼0[(9)ʽ]¡£ÒÔÁÑÎÆÌåµÄÁÑÎÆÊ§ÎÈÀ©Õ¹µ¼Ö¶ÏÁÑΪÀý£¬¿Éµ¼³ö¸ñÀï·ÆË¼(A.A.Griffith)¶ÏÁÑÀíÂ۵Ļù±¾·½³Ìʽ£¨¼û¶ÏÁÑÁ¦Ñ§£©¡£

¹ý³Ì½ø¶È

Ó¦ÓÃ(30)ʽ£¬¿ÉÒÔÑо¿·´Ó¦µÄ½øÐг̶ȡ£ÀýÈ磬¿¼ÂǰÂÊÏÌ壨¦Ã£©×ª±äΪÂíÊÏÌå(M)µÄÏà±ä£¬×ª±äζÈ(Tr)ÓúµÍ£¬ΔGÓú¸º£¬ÔòÐγɵÄÂíÊÏÌåÁ¿µÄÌå»ý·ÖÊý(f)Óú¶à¡£

ºÏ½ðÈÈÁ¦Ñ§µÄÄÜÁ¿·ÖÎö·½·¨£¬¿ÉÒÔÓÃÀ´·ÖÎöºÏ½ð¼°ÆäËû²ÄÁϵĽṹ¡¢ÐÔÄܺ͹ý³Ì£¬¶øÕâÈýÕߣ¬ÕýÊǺϽðÑо¿µÄÖ÷ÒªÎÊÌâ¡£

²Î¿¼ÊéÄ¿
  1. Ðì×æÒ«£º¡¶½ðÊô²ÄÁÏÈÈÁ¦Ñ§¡·£¬¿ÆÑ§³ö°æÉ磬±±¾©£¬1981¡£
  2. Ф¼ÍÃÀ£º¡¶ºÏ½ðÄÜÁ¿Ñ§¡·£¬ÉϺ£¿ÆÑ§¼¼Êõ³ö°æÉ磬ÉϺ££¬1983¡£