[拼音]:jiaoyu tongjixue
[外文]:educational statistics
教育学与数理统计学相结合的一门交叉学科,是应用统计学的一个分支。它把统计学的方法应用于教育实际工作和教育科学研究,通过数据的分析和处理,以便更准确地掌握教育情况。为探索教育规律、制订教育方案、检查教育效率,提供一种科学的方法。
教育统计学分类分为两大类:
(1)描述统计学,其任务是研究简缩数据和描述这些数据。如将搜集所得的大量数据归类并用表格或图形表示出来。通过计算所得的数据的“集中量数”、 “差异量数”和 “相关系数”等特征数值,描述有关事物的典型性、波动范围和相互关系,揭示事物的内在规律。
(2)推断统计学,即利用数据进行统计检验、统计分析和非参数统计法作出决策。亦即以一定的置信度,根据部分数据去推断更一般的情况,务使所得的结论能应用于更广泛的范围或根据已知数据结合教育特点进行预测。
沿革20世纪初,美国心理学家E.L.桑代克为了使教育科学化,以心理学和统计学为工具研究教育学,于1904年写了一本社会统计学应用手册《心理与社会测量导论》,这是世界上第一本有关教育统计学的专著。此后,美国的大学先后开设心理和统计课程,并出版教材。如:心理学家L.L.瑟斯顿的《统计学纲要》(1925)、实验心理学家H.E.加勒特的《心理学与教育中的统计法》(1926)等。这些教材的内容大部属于描述统计。40年代以后,欧美各国比较普遍地应用数理统计方法研究心理与教育问题,所用教材增加了小样本理论、统计估计、统计检验等主要内容。由于瑟斯顿等人在英国心理学家C.E.斯皮尔曼的影响下用因素分析法研究人的智力等,从此,教育统计学进入了以推断统计为主要内容的阶段。当时的代表著作有E.F.林奎斯特的《教育研究中的统计分析》(1940)。随后,统计学家发现了统计假设检验所涉及的假定(assumption), 例如, 总体的基本分布形式为正态分布密度不能满足或者根本不知道基本分布的形式,则引入一种与密度的形式无关的统计方法──非参数方法,使得教育统计学的内容更为充实、丰富,实用范围更为广泛。这方面的代表著作有W.J.波帕姆与K.A.塞罗蒂尼克合著的《教育统计学──应用与说明》(1973),J.P.吉尔福德与B.弗鲁奇特合著的《心理学与教育中的基础统计学》 (1978)。 70年代由于电子计算机的广泛应用,不少教育统计学的教材也介绍了电子计算机处理数据。如1973年美国D.怀特所著的《教育统计──附数据处理》就是其中的一本。
教育测量学与教育统计学有极为密切的联系,而且相互作用。
(1)教育统计学所加工的原料来自教育测量所提供的数据,而数据真实情况与可靠程度决定于教育测量本身的效度(validity)和信度 (reliability),关于效度和信度的确定以及教育测量中的项目分析 (item analysis),又必须运用统计学中的相关系数和因素分析。
(2)教育测量学中各种量表的编制及各种常模(norm)的确定,必须运用统计学知识,如百分位数、平均数、标准差、标准分数、正态分布等。
实验统计学 (experimental statistics) 的兴起,使得统计学的内容大为充实。其影响所及,也使教育统计学的范围有所扩展。这表现在:
(1)教育研究中所使用的数据是多样性的,就变数“水平”分,不仅有等距的(interval)和比率的 (ratio),而且不少是属于称名的(nominal)、顺序的(ordinal),各种不同“水平”的变数,各有其相应的统计方法, 如对于后两种变数, 不得使用平均数和标准差进行统计分析。
(2)教育问题中,往往出现样本容量大, 因而可能利用大数法则(law of large numbers)以近似的途径作替代的统计分析。
中国的教育统计学是在辛亥革命以后,随着西方科学技术成就一起被引入的。当时的大学教育系和中等师范学校都把教育统计学作为必修课程。有不少学者讲授这门课程,并撰写了专著。如薛鸿志著《教育统计法》(1925)、朱君毅著 《教育统计学》 (1930)、沈有乾著《教育统计学讲话》(1946)、《实验设计与统计方法》(1947)等。50年代以后,由于精简课程,学校中的教育统计学停开,1979年以来,随着教育科学研究的发展,教育统计学又得以恢复。教育部组织叶佩华(主编)、万梅亭、郝德元、陈一白等编写了《教育统计学》(1983)作为全国通用教材。
发展趋势近年来,由于电子计算机的使用,使得统计学领域出现了不少的革新措施。这些措施对教育统计学产生着影响。
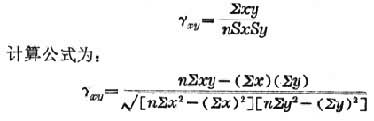
(1)为了节省时间,简化程序,现行的教育统计学教材,都列有各种统计量的定义公式和计算公式。为了提高效率,使用电子计算机时,为电子计算机所接受的计算公式受到越来越多的重视和运用。例如计算 pearson 的乘积相关的定义公式为:
(2)过去教育统计学教材中大都用相当多的篇幅专门介绍分组频数分配的所谓简捷的统计处理法。这样做虽然有一定的描述作用,但与电子计算机相比,计算手续不简捷,结果也不准确。而电子计算机直接处理数据,不但比较迅速准确,还可直接编制频数分配表,不必对全部数据经过逐一划记的手工操作。因此现在已有不少教材,只介绍次数分配表、相关表或相关散布图的编制。而对于如何利用次数分配表、相关表为基础,作进一步的统计处理,则未多作说明。
(3)过去的教育统计学教材对于回归分析这一内容的论述,由于计算繁琐,往往只介绍一元、二元回归,对于三元以上的回归问题最多只作一些理论上的介绍,对于实际运用,就很少详谈。这对于“要根据多种有关变项所造成的效果”的教育问题进行预测显然是不够的。随着电子计算机在教育统计学中的推广使用,多元统计分析将日益受到重视和运用。
总之,由于电子计算机的应用和实验统计学的发展,着重实用性的教育统计学,将对那些实用性不大的内容进行删简,而对许多必要的统计方法则予以引进,这将是今后教育统计学的发展趋势。